深入理解opengl坐标系统

481 阅读5分钟

欢迎关注公众号:sumsmile /专注图形学

内容参考songho.ca/opengllearnopengl

坐标变换流程

坐标变换主要发生在顶点处理阶段,外加光栅化进行一次视口变换

各个阶段变换说明:

  1. Model 变换,指模型本身的调整,比如一个人物模型,建模的时候原点放在腰上,放到场景中,一半在平面坐标系下面了,要把脚和地平面对齐,Model变换加一个向上的平移
  2. VIEW 变换,opengl本身没有相机的概念,场景视角默认冲着屏幕里,即-z轴。相机的变换是通过对场景做逆变换实现的,比如相机旋转30°,则实际是将场景旋转-30°
  3. Projection 变换,空间中的坐标最后都要在二维的平面上绘制,Projection就是将3D的坐标变换到2D(不太准确,下面会深入projection原理)

看下图,3.View Space到4.CLIP SPACE的区别,经过透视投影到剪裁空间后,物体符合近大远小的视觉效果,立方体背面的xy坐标变小了,更靠近原点,右边锥体的尖儿也相对的远离原点了(尖儿更靠前)

 from learning opengl

整个渲染过程涉及5个坐标系,坐标范围如下,参考下图

坐标系坐标范围说明
Object/Local Coordinate[-∞, +∞]空间任意值
Eye/View Coordinate[-∞, +∞]空间任意值
Clip Coordinate[-∞, +∞]x、y在近平面的宽高范围内
NDC coordinate[-1, +1]投影变换之后,除以齐次坐标W得到
Screen Space[0, 宽/高]窗口宽高范围内

注:opengl是右手坐标系,拇指、食指、中指分别指向x、y、z轴正方向

注,Divide by w这一步是opengl管线自己做的,开发者只要按要求计算好齐次坐标的w值。

齐次坐标理解参考:Homogeneous Coordinates

model view projection变换,我们一般简称为mvp变换,mv相对简单,重点看看projection变换实现

投影矩阵

投影分两种:

  • 透视投影(Perspective Projection),会渲染成近大远小
  • 正交投影(Orthographic Projection),长宽按照1:1渲染,不会缩放

正常情况下,场景的渲染使用透视投影,一些特殊的场景会选择正交投影,比如游戏中人物的血条,平行光的阴影图(shadow map)

projection变换后得到clip space坐标P(xc,yc,zc,wcx_c, y_c, z_c, w_c)

opengl管线会根据clip坐标进行剪裁,在camera视锥范围外的顶点会被丢弃,判断计算:

如果出现裁剪,OpenGL会在网格的裁剪处进行重建

透视投影(Perspective Projection)

透视投影

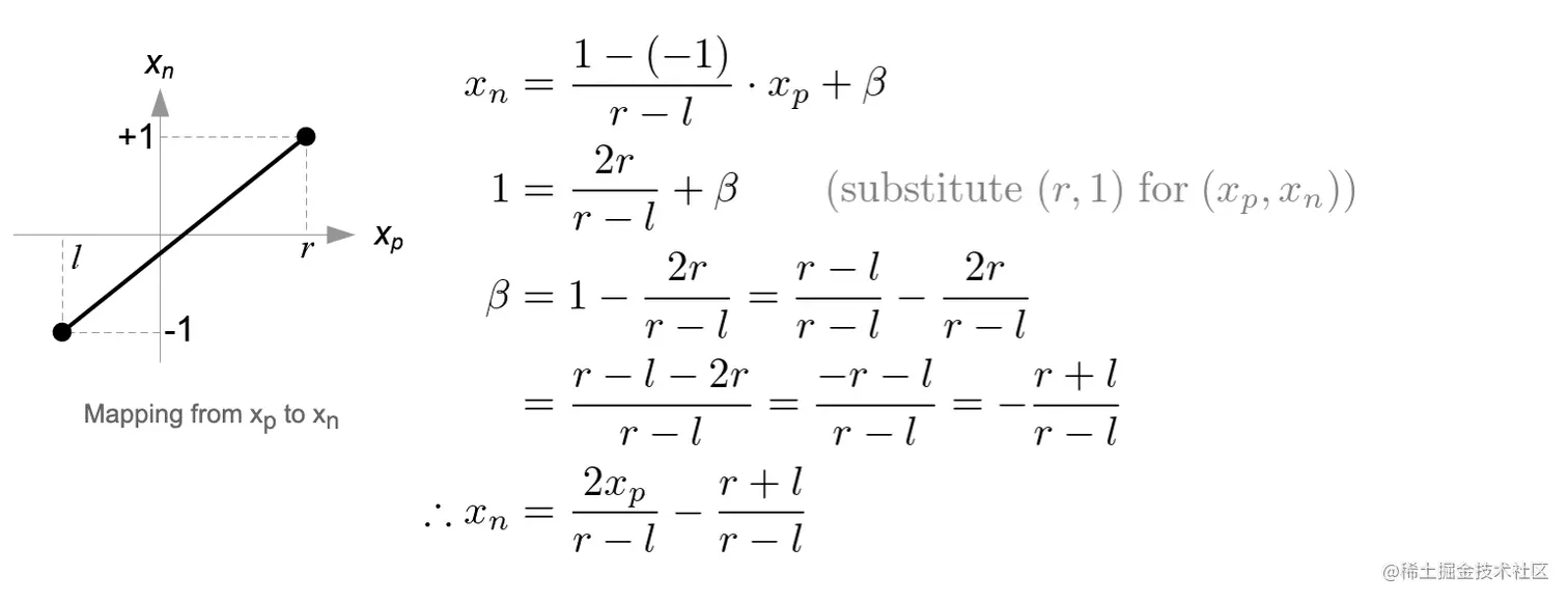
透视变换中,假设人眼/相机看到的是一个被裁剪的金字塔锥体,3D坐标投影变换后,映射到单位立方体空间内[-1, 1],

  • x轴范围[l, r] ==> [-1, 1]
  • y轴范围[b, t] ==> [-1, 1]
  • z轴范围[-n, -f]==> [-1, 1]

右手坐标系下,camera看向-z方向,这里n、f > 0,所以前面加负号

理解透视变换的关键在于,要凑出一个矩阵,使得点(xeye,yeye,zeye,weye)(x_{eye}, y_{eye}, z_{eye}, w_{eye}) 左乘矩阵MprojectionM_{projection}后得到一个齐次坐标(xclip,yclip,zclip,wclip)(x_{clip}, y_{clip}, z_{clip}, w_{clip}),之后(xclip,yclip,zclip,wclip)/wclip(x_{clip}, y_{clip}, z_{clip}, w_{clip}) / w_{clip} 要得到NDC空间坐标,即xyz/w后能归一化到[-1, 1]范围

1. 设 wclip=zeyew_{clip} = z_{eye},这个设定是合理的(我觉得也可以设定成其他的合理值,只要和z坐标相关成比例,符合人眼视觉成像的效果即可)

wclipw_{clip} 由矩阵M的第四行决定的

2. 由3D空间 到 NDC空间映射关系推导出矩阵上面三行的数值

OpenGL中,3D空间中的点投影到近平面.

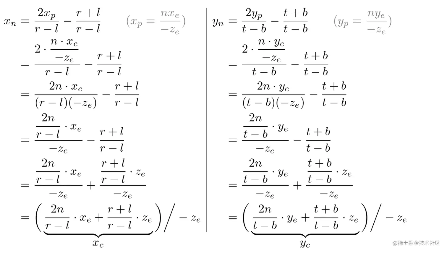
下图展示eye space中的点(xe,ye,ze)(x_e, y_e, z_e) 投影到近平面的坐标为(xp,yp,zp)(x_p, y_p, z_p) 从top视角看,根据相似三角形可得:

从侧视角看,得到y坐标的比例关系

按线性关系,建立投影坐标到NDC空间坐标的变换(l, r)=>(-1, 1), (b, t)=>(-1, 1),clip坐标经过一次缩放和一次平移得到NDC 坐标。

xndcx_{ndc}坐标

同理可得到yndcy_{ndc}坐标

整个过程按 eye space ==> clip space ==> ndc space流程建立方程,基于齐次坐标和NDC坐标范围约束建立方程。

替换上面方程的xpx_pypy_p,经过变形将ze-z_e提取到分母中

前面已经设wc=zew_c = -z_e,所以括号内的项就是clip空间的xcycx_c、y_c坐标,则可得到投影矩阵的第一行和第二行

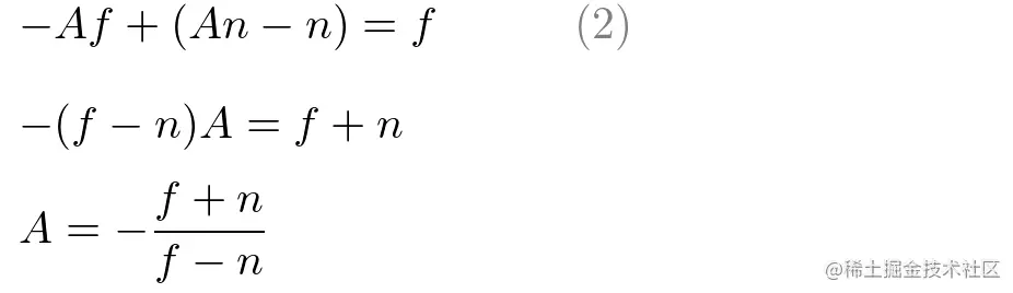
3. 求投影矩阵第三行数值

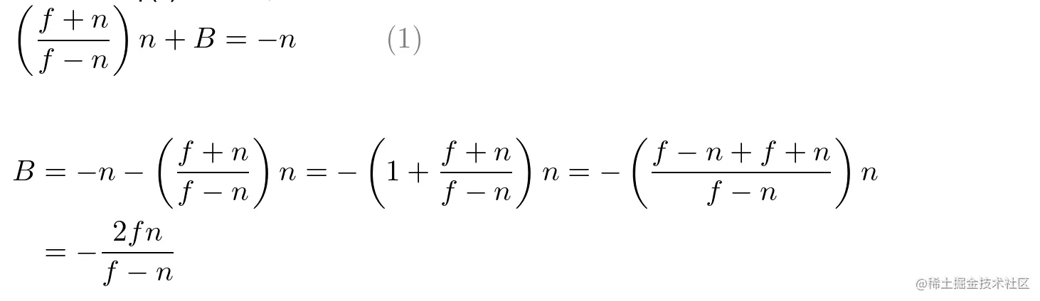
zcz_c和x、y没关系,只可能和 z w项有关,设这两项对应的矩阵系数为A B

设定eye space中的wew_e为1,上图右边的等式为

利用zez_e ==> znz_n的映射关系 clip space(-n, -f) ==> NDC space(-1, 1),得到:

得到B:

得A:

A代入到B得:

则得到znz_n为:

则,推断矩阵的第三行为:

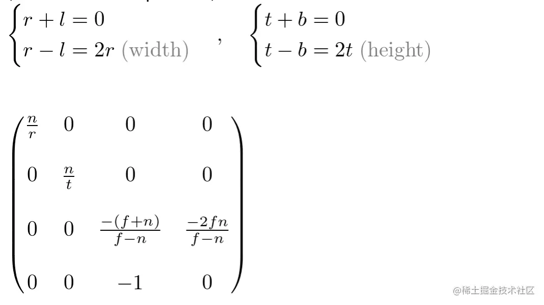
上面是通用的投影矩阵,如果视锥是对称的,即r = -l, t = - b,则该矩阵可以简化为:

注意: 投影矩阵之后需要除以w项,才能得到NDC空间坐标(-1, 1),w = z。则从z_clip 到 z_ndc,是一个类似 f(z) = 1/-z 的函数,

可以看到,这个映射不是均匀的,在远平面变化比较慢。则远处的点映射到ndc空间,深度值比较接近,渲染时由于深度值不精确,会产生z-fight现象,远处的挨在一起的面片可能会闪烁。

正交投影(Orthographic Projection)

正交投影相对简单多了,长方体的视锥缩放到单位正方体,再平移到原点

不需要经过clip space坐标中转了,直接由eye space 变换到NDC空间,对比结果凑出正交矩阵数值。当然,还是需要按缩放+平移的思路,分别凑出x、y、z坐标的方程。

注意,正交投影xy坐标是1:1变换到近平面的,所以不需要去凑w项了。

参考透视投影流程

则,对应的矩阵为

如果该正交矩阵是对称的,即r = -l, t = -b,则可以进一步简化矩阵

投影矩阵不是本来就存在的科学原理,是工程上能自圆其说的一种假设的模型,我感觉就是凑出来这个矩阵,好使就行。

欢迎关注公众号:sumsmile /专注图形学