WEBGL基础 | 青训营笔记

126 阅读1分钟

这是我参与「第五届青训营 」伴学笔记创作活动的第 16 天

WdbGL是什么?

GPU ≠ WdbGL ≠ 计算机图形学

image.png

  • 光栅:将多边形拆成不同的像素,最终实现将图像绘制在屏幕上
  • 像素:控制每个点的颜色
  • 帧缓存:绘图过程中,像素信息被存放于帧缓存中
  • CPU:负责逻辑计算
  • GPU:负责图形计算

image.png

  • 轮廓提取
  • 光栅化
  • 帧缓存
  • 渲染

GPU由大量小运算单元构成,每个单元只负责处理很简单的运算,可以并行处理。

WebGL绘图流程:

  1. 创建WebGL上下文(canvas对象)
  2. 创建WebGL Program
  3. 将数据存入缓冲区
  4. 将缓冲区数据读取到GPU
  5. GPU执行WebGL程序,输出结果

在顶点着色器定义三角形顶点,之后会根据三个点的值进行线性插值。

const canvas = document.querySelector( 'canvas ' );
const gl = canvas.getContext( 'webgl' );
const names = [ 'webgl', 'experimental-webgl ' , 'webkit-3d ', 'moz-webgl'];
if( options.webgl2 ) names.unshift( 'webgl2 ' );
let context = null;
for( let ii = 0;ii<names.length;++ii) {
try {
context = canvas.getContext( names[ii], options ) ;
}catch (e) {
 // no-empty}
 }
if( context) {
    break;
}
return context;
}

The Shaders

1.Vertex Shader

attribute vec2 position;
void main() {
gl_Pointsize = 1.0;
gl_Position = vec4(position,1.01.0);
}

2.Fragment Shader

precision mediump float;
void main() {
gl_Fragcolor = vec4( 1.00.00.01.0);
}

image.png

image.png

image.png

WebGL在分析时不会实时进行分析和导出,而是通过缓存进行渲染。

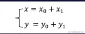
  1. 平移

image.png

  1. 旋转

image.png

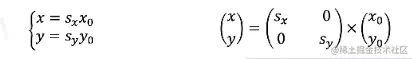
  1. 缩放

image.png

3D标准模型的四个齐次矩阵(mat4):

  1. 投影矩阵
  2. 模型矩阵
  3. 视图矩阵
  4. 法向量矩阵

推荐阅读:

  1. The book of shaders
  2. Mesh.js
  3. glsl-doodle
  4. SpriteJS
  5. ThreeJS
  6. ShaderToy