阿尔伯塔大学—一个新颖、通用且可扩展的框架,用于对 SLAM 数据集进行定量分析和比较

338 阅读1分钟

以下内容来自从零开始机器人SLAM知识星球 每日更新内容

#论文# Are We Ready for Robust and Resilient SLAM? A Framework For Quantitative Characterization of SLAM Datasets

论文地址:arxiv.org/pdf/2202.11…

作者单位:阿尔伯塔大学
SLAM 系统的可靠性被认为是现代机器人系统的关键要求之一。这引导人们努力开发许多最先进的系统,创建具有挑战性的数据集,并引入严格的指标来衡量 SLAM 性能。然而,很少有人探索数据集与鲁棒性/弹性环境中的性能之间的联系。为了填补这一空白,SLAM 系统的运行条件的表征对于为鲁棒性和弹性的定量测量提供环境至关重要。在本文中,我们认为,为了正确评估 SLAM 性能,SLAM 数据集是关键的第一步。

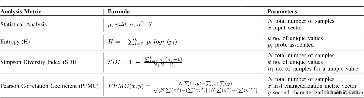
该研究首先回顾了以前对 SLAM 数据集进行定量表征的努力。然后,讨论了扰动表征问题,并建立了与 SLAM 鲁棒性/弹性的联系。之后,我们提出了一个新颖、通用且可扩展的框架,用于对 SLAM 数据集进行定量分析和比较。此外,还提供了不同表征参数的描述。最后,我们通过展示三个 SLAM 数据集的表征结果来展示我们框架的应用:KITTI、 EuroC-MAV 和 TUM-V。

1.png

2.png

3.png

4.png

5.png

6.png 以上内容来自从零开始机器人SLAM知识星球 每日更新内容