LeetCode链表篇

143 阅读10分钟

链表基础

  • 单链表:单链表是一种通过指针串联在一起的线性结构,每一个节点由两部分组成,一个是数据域一个是指针域(存放指向下一个节点的指针),最后一个节点的指针域指向null(空指针的意思)。链接的入口节点称为链表的头结点也就是head。 如图所示: 链表1
  • 双链表:每一个节点有两个指针域,一个指向下一个节点,一个指向上一个节点。双链表既可以向前查询也可以向后查询。如图所示: 链表2
  • 循环链表:链表首尾相连。循环链表可以用来解决约瑟夫环问题。如图所示:链表4
  • 链表存储方式:链表中的节点在内存中不是连续分布的 ,而是散乱分布在内存中的某地址上,分配机制取决于操作系统的内存管理。
  • 链表定义:
// 单链表
struct ListNode {
    int val;  // 节点上存储的元素
    ListNode *next;  // 指向下一个节点的指针
    ListNode(int x) : val(x), next(NULL) {}  // 节点的构造函数
};

经典例题

移除链表元素(203)

题目地址

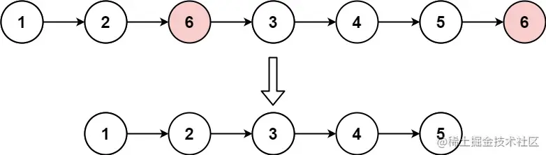
给你一个链表的头节点 head 和一个整数 val ,请你删除链表中所有满足 Node.val == val 的节点,并返回 新的头节点 。  

示例 1:
输入:head = [1,2,6,3,4,5,6], val = 6
输出:[1,2,3,4,5]

203

示例 2:
输入:head = [], val = 1
输出:[]
示例 3:
输入:head = [7,7,7,7], val = 7
输出:[]

思路

为了统一对头节点与其他节点的操作方式,设置一个虚拟节点作为新的头节点,在最后返回虚拟头节点的下一个节点,这才是真的头节点。

代码

class Solution
{
public:
    ListNode *removeElements(ListNode *head, int val)
    {
        ListNode *dummyHead = new ListNode(0);  // 定义虚拟头
        dummyHead->next = head;  //将虚拟头节点作为新的头节点
        ListNode *cur = dummyHead;
        while (cur->next != nullptr)  //循环全部节点
        {
            if (cur->next->val == val)  //判断值
            {
                ListNode *tmp = cur->next;
                cur->next = cur->next->next;
                delete tmp;   //释放内存
            }
            else
            {
                cur = cur->next;
            }
        }
        return dummyHead->next;
    }
};

设计链表(707)

题目地址

设计链表的实现。您可以选择使用单链表或双链表。单链表中的节点应该具有两个属性:val 和 next。val 是当前节点的值,next 是指向下一个节点的指针/引用。如果要使用双向链表,则还需要一个属性 prev 以指示链表中的上一个节点。假设链表中的所有节点都是 0-index的。

在链表类中实现这些功能:

  • get(index):获取链表中第 index 个节点的值。如果索引无效,则返回-1。
  • addAtHead(val):在链表的第一个元素之前添加一个值为 val 的节点。插入后,新节点将成为链表的第一个节点。
  • addAtTail(val):将值为 val 的节点追加到链表的最后一个元素。
  • addAtIndex(index,val):在链表中的第 index 个节点之前添加值为 val 的节点。如果 index 等于链表的长度,则该节点将附加到链表的末尾。如果 index 大于链表长度,则不会插入节点。如果index小于0,则在头部插入节点。
  • deleteAtIndex(index):如果索引 index 有效,则删除链表中的第 index 个节点。
示例:
MyLinkedList linkedList = new MyLinkedList();
linkedList.addAtHead(1);
linkedList.addAtTail(3);
linkedList.addAtIndex(1,2);   //链表变为1-> 2-> 3
linkedList.get(1);            //返回2
linkedList.deleteAtIndex(1);  //现在链表是1-> 3
linkedList.get(1);            //返回3

思路

实现5个接口

  • 获取链表第index个节点的数值
  • 在链表的最前面插入一个节点
  • 在链表的最后面插入一个节点
  • 在链表第index个节点前面插入一个节点
  • 删除链表的第index个节点

细节

  • 在获取第index节点时,将cur指向dummyHead->next
  • 在插入或删除第index节点时,因为只能通过index前一个节点才能对index进行插入或删除,所以将cur指向dummyHead

代码

#include <iostream>

using namespace std;

class MyLinkedList {
public:

    struct LinkedNode
    {
        int val;
        LinkedNode *next;
        LinkedNode(int val) : val(val), next(nullptr){}
    };

    MyLinkedList() {
        _dummyHead = new LinkedNode(0);
        _size = 0;
    }
    
    int get(int index) {  //return索引节点值
        if (index < 0 || index > (_size - 1))  //包含头节点(size-1)
        {
            return -1;
        }
        LinkedNode *cur = _dummyHead->next;  //cur为第index节点
        while (index--)
        {
            cur = cur->next;
        }
        return cur->val;
    }
    
    void addAtHead(int val) {  //添加头节点
        LinkedNode *newNode = new LinkedNode(val);
        newNode->next = _dummyHead->next;
        _dummyHead->next = newNode;
        _size++;
    }
    
    void addAtTail(int val) {  //添加末尾节点
        LinkedNode *newNode = new LinkedNode(val);
        LinkedNode *cur = _dummyHead;  //cur为末尾节点前一个
        while (cur->next != nullptr)
        {
            cur = cur->next;
        }
        newNode->next = cur->next; 
        cur->next = newNode;
        _size++;
    }
    
    void addAtIndex(int index, int val) {  //再index前添加val的节点
        if (index < 0 || index > _size)  //不包含头节点(size)
        {
            return;
        }
        LinkedNode *newNode = new LinkedNode(val);
        LinkedNode *cur = _dummyHead;
        while(index--)
        {
            cur = cur->next;
        }
        newNode->next = cur->next;
        cur->next = newNode;
        _size++;
    }
    
    void deleteAtIndex(int index) {  //删除index节点
        if (index < 0 || index > (_size - 1))
        {
            return;
        }
        LinkedNode *cur = _dummyHead;
        while (index--)
        {
            cur = cur->next;
        }
        LinkedNode *tmp = cur->next;
        cur->next = cur->next->next;
        delete tmp;
        _size--;
    }

    void printLinkedList(){  //打印列表
        LinkedNode *cur = _dummyHead;
        while (cur->next != nullptr)
        {
            cout << cur->next->val << "";
            cur = cur->next;
        }
        cout << endl;
    } 

private:
    int _size;
    LinkedNode *_dummyHead;
};

反转列表(206)

代码地址

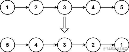
给你单链表的头节点 head ,请你反转链表,并返回反转后的链表。  

示例 1:
输入:head = [1,2,3,4,5]
输出:[5,4,3,2,1]

206-1

示例 2:
输入:head = [1,2]
输出:[2,1]

206-2

示例 3:
输入:head = []
输出:[]

思路

在链表中,只要改变指针的指向就可以实现链表的反转。

  • 第一种想法是定义两个指针:cur指向头节点,pre指向空指针,将cur->next保存为tmp,因为若不保存,更改cur->next指向后,原先的cur->next节点就访问不到了,将cur->next指向pre。要先将pre向下一个节点移动,pre = cur,后将cur移动至下一个节点,cur = tmp,若先移动cur,则当前的节点就访问不到了,无法将当前节点赋给pre。最后返回pre,此时的cur指向空结点。

双指针写法

class Solution
{
public:
    ListNode *reverseList(ListNode *head)
    {
        ListNode *cur = head;
        ListNode *pre = nullptr;
        ListNode *tmp = nullptr;
        while (cur)
        {
            tmp = cur->next;
            cur->next = pre;

            pre = cur;  //先移动pre
            cur = tmp;  //后移动cur
        }
        return pre;
    }
};
  • 在此基础上,每次移动指针的操作是重复的,所以可以用递归的方式写。
class Solution
{
public:
    ListNode *reverseList(ListNode *head)
    {
        return reverse(head, nullptr);
    }

    ListNode *reverse(ListNode *cur, ListNode *pre)
    {
        if (cur == nullptr)
        {
            return pre;
        }
        ListNode *tmp = cur->next;
        cur->next = pre;
        return reverse(tmp, cur);
    }
};

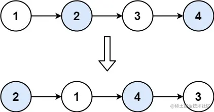
两两交换链表中的节点(24)

题目地址

给你一个链表,两两交换其中相邻的节点,并返回交换后链表的头节点。你必须在不修改节点内部的值的情况下完成本题(即,只能进行节点交换)。

示例 1:
输入:head = [1,2,3,4]
输出:[2,1,4,3]

24-1

示例 2:
输入:head = []
输出:[]
示例 3:
输入:head = [1]
输出:[1]

思路

看似这道题是换数值,其实是换结点的问题。使用虚拟头节点统一规则,令dummyHead->next = Head,让cur指向dummyHead,cur->next = cur->next->next, 但是cur->next原来的节点就访问不到了,所以在此之前要先用tmp保存下来,tmp = cur->next, 此时可以cur->next->next = tmp, 但此时,cur->next->next->next指向的是原链表的cur->next->next,所以要用tmp1保存原先的cur->next->next->next,最后再移动两个结点进行下一次换位操作。

代码

class Solution {
public:
    ListNode* swapPairs(ListNode* head) {
        ListNode *dummyHead = new ListNode(0);
        dummyHead->next = head;
        ListNode *cur = dummyHead;
        while (cur->next != nullptr && cur->next->next != nullptr)
        {
            ListNode* tmp = cur->next;
            ListNode *tmp1 = cur->next->next->next;

            cur->next = cur->next->next;
            cur->next->next = tmp;
            cur->next->next->next = tmp1;

            cur = cur->next->next;
        }
        return dummyHead->next;
    }
};

删除链表的倒数第N个节点(19)

题目地址

给你一个链表,删除链表的倒数第 n 个结点,并且返回链表的头结点。

示例 1:
输入:head = [1,2,3,4,5], n = 2
输出:[1,2,3,5]

19-1

示例 2:
输入:head = [1], n = 1
输出:[]
示例 3:
输入:head = [1,2], n = 1
输出:[1]

思路

这道题是删除倒数的节点,定义一个快指针,一个慢指针,让快指针先走n+1步,然后快慢指针同时向前移动,直到快指针指向空指针,此时慢指针指向要删除结点的前一个(快指针多走一步,慢指针就少走一步)。

代码

class Solution
{
public:
    ListNode *removeNthFromEnd(ListNode *head, int n)
    {
        ListNode *dummyHead = new ListNode(0);
        dummyHead->next = head;
        ListNode *fast = dummyHead;
        ListNode *slow = dummyHead;
        // 走n步
        while (n-- && fast != nullptr)
        {
            fast = fast->next;
        }
        // n+1
        fast = fast->next;
        while (fast != nullptr)
        {
            fast = fast->next;
            slow = slow->next;
        }

        ListNode *tmp = slow->next;
        slow->next = slow->next->next;
        delete tmp;

        return dummyHead->next;
    }
};

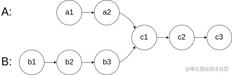
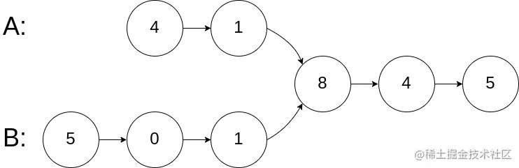
链表相交(160)

题目地址

给你两个单链表的头节点 headA 和 headB ,请你找出并返回两个单链表相交的起始节点。如果两个链表没有交点,返回 null 。

图示两个链表在节点 c1 开始相交: 160-1 题目数据 保证 整个链式结构中不存在环。

注意,函数返回结果后,链表必须 保持其原始结构 。

示例 1:
输入:intersectVal = 8, listA = [4,1,8,4,5], listB = [5,0,1,8,4,5], skipA = 2, skipB = 3
输出:Intersected at '8'
解释:相交节点的值为 8 (注意,如果两个链表相交则不能为 0)。
从各自的表头开始算起,链表 A[4,1,8,4,5],链表 B[5,0,1,8,4,5]。
在 A 中,相交节点前有 2 个节点;在 B 中,相交节点前有 3 个节点。

160-2

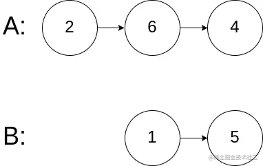
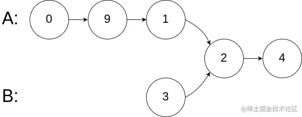
示例 2:
输入:intersectVal = 2, listA = [0,9,1,2,4], listB = [3,2,4], skipA = 3, skipB = 1
输出:Intersected at '2'
解释:相交节点的值为 2 (注意,如果两个链表相交则不能为 0)。
从各自的表头开始算起,链表 A[0,9,1,2,4],链表 B[3,2,4]。
在 A 中,相交节点前有 3 个节点;在 B 中,相交节点前有 1 个节点。

160-3

示例 3:
输入:intersectVal = 0, listA = [2,6,4], listB = [1,5], skipA = 3, skipB = 2
输出:null
解释:从各自的表头开始算起,链表 A[2,6,4],链表 B[1,5]。
由于这两个链表不相交,所以 intersectVal 必须为 0,而 skipA 和 skipB 可以是任意值。
这两个链表不相交,因此返回 null 。

160-4

思路

这道题看似是找数值相同的结点,其实是找指针相同的结点。先判断两个链表的长度,然后让两个链表末尾对齐,长链表的起点对齐到短链表的起点。然后一起移动判断是否相同。

class Solution
{
public:
    ListNode *getIntersectionNode(ListNode *headA, ListNode *headB)
    {
        ListNode *curA = headA;
        ListNode *curB = headB;

        int lengthA = 0;
        int lengthB = 0;
        while (curA->next != nullptr)  //计算链表A长度
        {
            curA = curA->next;
            lengthA++;
        }
        while (curB->next != nullptr)  //计算链表B长度
        {
            curB = curB->next;
            lengthB++;
        }

        curA = headA;
        curB = headB;

        if (lengthA < lengthB)  //判断长度大小
        {
            swap(lengthA, lengthB);
            swap(curA, curB);
        }

        int gap = lengthA - lengthB;
        while (gap--)
        {
            curA = curA->next;
        }

        while (curA != nullptr)
        {
            if (curA == curB)
            {
                return curA;
            }
            curA = curA->next;
            curB = curB->next;
        }
        return nullptr;
    }
};

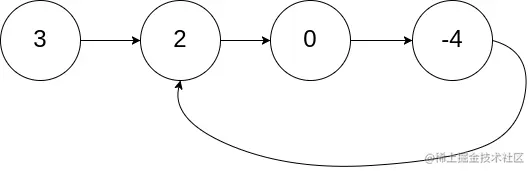
环形链表II(142)

题目地址

给定一个链表的头节点  head ,返回链表开始入环的第一个节点。 如果链表无环,则返回 null。

如果链表中有某个节点,可以通过连续跟踪 next 指针再次到达,则链表中存在环。 为了表示给定链表中的环,评测系统内部使用整数 pos 来表示链表尾连接到链表中的位置(索引从 0 开始)。如果 pos 是 -1,则在该链表中没有环。注意:pos 不作为参数进行传递,仅仅是为了标识链表的实际情况。

不允许修改 链表。

示例 1:
输入:head = [3,2,0,-4], pos = 1
输出:返回索引为 1 的链表节点
解释:链表中有一个环,其尾部连接到第二个节点。

示例 2:
输入:head = [1,2], pos = 0
输出:返回索引为 0 的链表节点
解释:链表中有一个环,其尾部连接到第一个节点。

示例 3:
输入:head = [1], pos = -1
输出:返回 null
解释:链表中没有环。

思路

设一个快指针,一个慢指针,快指针一次走两个结点,慢指针一次走一个结点,快指针总会在圈内追上慢指针(相当于套圈了,但是至于是套了几圈并不重要),从头结点出发一个指针,从相遇节点也出发一个指针,这两个指针每次只走一个节点, 那么当这两个指针相遇的时候就是环形入口的节点

代码

class Solution
{
public:
    ListNode *detectCycle(ListNode *head)
    {
        ListNode *slow = head;
        ListNode *fast = head;

        while (fast != nullptr && fast->next != nullptr)
        {
            fast = fast->next->next;  //一次走两步
            slow = slow->next;  //一次走一步

            if (fast == slow)  //相遇
            {
                ListNode *index1 = head;
                ListNode *index2 = fast;
                while (index1 != index2)  //从头指针和相遇指针都走一步,相遇的就是环形入口
                {
                    index1 = index1->next;
                    index2 = index2->next;
                }
                return index1;
            }
        }
        return nullptr;
    }
};