扩散模型应用之 RePaint

756 阅读1分钟

扩散模型应用之 RePaint

RePaint: Inpainting using Denoising Diffusion Probabilistic Models (CVPR2022)

arxiv.org/pdf/2201.09…

github.com/andreas128/…

contribution

  • 提出基于扩散模型的图像绘画方法,与以往针对特定分布的mask不同,RePaint与mask无关,可以提高image Inpainting的泛化度。
  • 在人脸和常规图像数据下测试,发现Repaint在standard and extreme masks下,效果均达到sota

Method

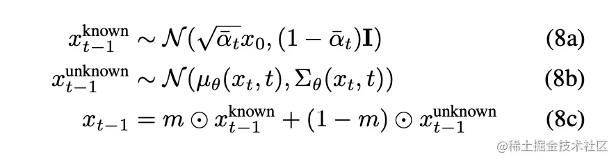
Conditioning on the known Region

在反向去噪过程中,为了保证未mask部分图像来源于原始图像,mask部分进行图像生成,设置以下迭代过程:

image.png

image.png

Resampling

仅进行上述反向去噪,生成的mask部分仅仅实现与其他区域的content type match,如n=1所示。虽然绘制的区域与相邻区域的纹理相匹配,但在语义上是不正确的。

image.png 原因分析:使用公式8a采样图像已知部分时,没有考虑到已经生成的mask区域 image.png 因此可以使用如下公式,进行重新采样

image.png

完整算法如下:

image.png

Experiments

image.png

image.png