几何建模与处理-网格简化的QEM方法

1,596 阅读5分钟

老铁,点个在看呗 欢迎关注公众号:sumsmile /专注图形渲染、Android开发

基于Carnegie Mellon University的一篇paperQuadric Error Metrics,实现模型简化。准确的说,应该是离散曲面简化。代码参考马玺凯的实现。

实现效果

图中原模型有43243个顶点,86482个面,每次简化减少一半顶点,12次简化后剩22个顶点40个面,当然,只要你愿意,可以一直简化,只是简化的太过分就失去了原模型的特征。

实现原理

原理不复杂,paper讲的非常细致,只要耐心的读读就能理解。

每次减少一条边,即合并两个点v1 v2,如下图所示。

图2

问题的关键有两点:

  1. 应该选择哪条边来收缩?
  2. 合并后的点的坐标怎么取?

如何选择边

直观理解,应该选择最不重要的边,即减少这条边对模型外观影响最小。

对照图2,假设收缩边v1v2\overrightarrow{v_1v_2},即合并顶点v1、v2,用一个新的点v\overline v替代。

与v1相连有n1个三角面,v_1到这n1个面的距离之和为d1d_1

d1d_1为合并v1的影响,同理合并v2v_2的影响为d2d_2,则合并v1、v2对模型整体的影响为 d1+d2d_1 + d_2

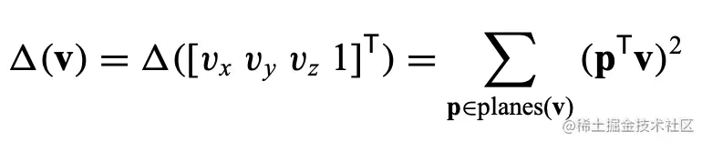
单个点到邻接面的距离平方和,用严谨的数学公式表达为:

图3

注意,这里P为平面方程的系数,是列向量,用平方来度量去掉了负号,方便计算。

先暂停下,复习点到平面的距离求解

三维平面可表达为: ax + by + cz + d = 0

为方便计算,要求 a b c是归一化后的系数,即a2+b2+c2=1a^2 + b^2 + c^2 = 1

向量n(a,b,c)\overrightarrow n(a, b, c)为该平面的法向量,d为该平面相对原点的位移。则ov\overrightarrow {ov}投影到n\overrightarrow n上的长度为: nv\overrightarrow{n} * \overrightarrow{v}

还要考虑平面相对原点的平移d。v用齐次坐标表示,则可得v到平面的距离为:

Δv=PTv=[abcd][xyz1] \Delta v = P^T * v = \left[ \begin{matrix} a\\ b\\ c\\ d\\ \end{matrix} \right] * \left[ \begin{matrix} x\\ y\\ z\\ 1\\ \end{matrix} \right]

这是从投影的角度直观的理解点到平面的距离,不是很严谨

回到正题

分别计算出每对点合并后对模型的影响(点到邻接面的平方和),排序后可得到影响最小的那对点。这个影响用Δv\Delta v表示

计算合并后的点的坐标

上面计算Δv\Delta v的公式中,v为合并后的新点。继续看Δv\Delta v的计算:

图4

其中,

P=[abcd]P= \left[ \begin{matrix} a\\ b\\ c\\ d\\ \end{matrix} \right]

图5

这个矩阵是这篇paper最核心的内容,每个顶点都可求得这样一个矩阵,确定了合并后的点,乘以这个矩阵就得到一个"影响值"

图6

其中,Q=i=0mKpQ = \sum_{i = 0} ^m K_p,即点邻接面的度量计算参数之和

看上图,Δv\Delta v 是二次函数,是个凹函数,对其求导,导数为0处对应着最小值v\overline v,即:

图7

图8

这里可能比较跳跃,自己动手算下,对图6求偏导

如果该矩阵可逆,则该方程有解,可得到v\overline v

如果不可逆,求两点平均值: v=12(v1+v2)\overline v = \frac{1}{2} * (v_1 + v_2)

注意:收缩一条边,实际减少两个点,所以上面Q是收缩前两个点的度量Q\overline Q Q=Q1+Q2\overline Q = \overline Q_1 + \overline Q_2

注意,这么算,会重复考虑了相同的面,不过不要紧,这只是个近似的计算,从结果看影响不大。

代码说明

开发环境:C++ CLion, 代码参考马玺凯同学的实现
依赖库:libigl,用的不是最新的代码(checkout commit 3cb4894e)

代码:
github.com/summer-go/G…

libigl简单而强大,可以处理各种Mesh操作,而且代码文档非常完善,对数学原理也一并做了简要介绍,非常值得学习。 libigl tutorial

主函数逻辑


int main(int argc, char *argv[])
{
...

    if(!OpenMesh::IO::read_mesh(mesh,"../models/armadillo.obj",opt))
    {
        std::cout << "can't open file"<<std::endl;
    }
    for(MyMesh::VertexIter v_it = mesh.vertices_begin(); v_it != mesh.vertices_end(); ++v_it)
    {
        mesh.point(*v_it) /= 4.0;
    }
    mesh.update_face_normals();
    mesh.update_vertex_normals();
    igl::opengl::glfw::Viewer viewer;

    // 注册按键回调,用来触发简化、还原操作
    viewer.callback_key_down = &key_down;

    // 转成igl需要的数据,点和面用矩阵来存储
    // V F数组长度为12,即缓存了12组简化结果,方便回溯查看
    openMesh_to_igl(mesh,V[0],F[0]);

    std::cout << "vertices : " <<  mesh.n_vertices() << std::endl;
    std::cout << "faces : " << mesh.n_faces() << std::endl;

    // 模型数据设置到igl的viewer中
    viewer.data().set_mesh(V[0], F[0]);
    // 默认展示线框
    viewer.data().show_lines = true;

    // 打开window
    viewer.launch();

}

按键回调操作

bool key_down(igl::opengl::glfw::Viewer& viewer, unsigned char key, int modifier)
{
    // 按1 简化模型
    if(key == '1')
    {
        if(ti < cache_size)
        {
            if(!flag[ti])
            {
                // 生成一个简化的模型,0.5表示简化操作保留一半顶点
                Surface_Simplification(mesh,0.5);
                std::cout << "vertices : " << mesh.n_vertices() << std::endl;;
                std::cout << "faces : " << mesh.n_faces() << std::endl;;
                // 转换成igl接受的点面数据
                openMesh_to_igl(mesh,V[ti],F[ti]);
                flag[ti] = true;
            }
            // clear view里的数据
            viewer.data().clear();
            // 更新模型数据
            viewer.data().set_mesh(V[ti],F[ti]);
            // 模型居中
            viewer.core().align_camera_center(V[ti],F[ti]);
            // ti 记录当前简化的次数
            ti++;
        }

    }
    
    // 按2,还原模型,从缓存里读取对应的模型数据
    else if(key == '2')
    {
        if(ti > 1)
        {
            ti--;
            viewer.data().clear();
            viewer.data().set_mesh(V[ti],F[ti]);
            viewer.core().align_camera_center(V[ti],F[ti]);
        }
    }
    return false;
}

模型简化计算

void Surface_Simplification(MyMesh &mesh, float ratio)
{
    assert(ratio >=0 && ratio <= 1);
    int it_num = (1.0f - ratio) * mesh.n_vertices();

    //1. Compute the Q matrices for all the initial vertices
    auto Q = OpenMesh::makeTemporaryProperty<OpenMesh::VertexHandle, Eigen::Matrix4f>(mesh);
    auto v = OpenMesh::makeTemporaryProperty<OpenMesh::VertexHandle, Eigen::Vector4f>(mesh);
    auto flag = OpenMesh::makeTemporaryProperty<OpenMesh::VertexHandle, int>(mesh); //与vto_flag vfrom_flag配合判断点对是否还有效
    auto p = OpenMesh::makeTemporaryProperty<OpenMesh::FaceHandle, Eigen::Vector4f>(mesh);

    // 求每个面的表达式,遍历面,取出法线作为平面方程系数
    // 平面:ax + by + cz + d = 0, [a, b, c]为该平面的法线, d 为平面从原点(0, 0, 0) 移动的距离
    for(MyMesh::FaceIter fit = mesh.faces_begin(); fit != mesh.faces_end(); ++fit)
    {
        float a, b, c, d;

        // 获取法线,得到参数 a b c
        a = mesh.normal(*fit)[0];
        b = mesh.normal(*fit)[1];
        c = mesh.normal(*fit)[2];

        // 代入平面上任意一点,求得 d
        MyMesh::Point tp = mesh.point(fit->halfedge().to());
        d = - (a * tp[0] + b * tp[1] + c * tp[2]);
        p[*fit][0] = a;
        p[*fit][1] = b;
        p[*fit][2] = c;
        p[*fit][3] = d;
    }

    // 求每个点的Q.遍历点,求出每个点到面的"距离矩阵"
    for(MyMesh::VertexIter vit = mesh.vertices_begin(); vit != mesh.vertices_end(); ++vit)
    {
        Eigen::Matrix4f mat;
        mat.setZero();
        for(MyMesh::VertexFaceIter vf_it = mesh.vf_iter(*vit); vf_it.is_valid(); ++vf_it)
        {
            mat += p[*vf_it] * p[*vf_it].transpose();
        }
        Q[*vit] = mat;
        v[*vit][0] = mesh.point(*vit)[0];
        v[*vit][1] = mesh.point(*vit)[1];
        v[*vit][2] = mesh.point(*vit)[2];
        v[*vit][3] = 1.0f;
        flag[*vit] = 0;
    }

    // 使用优先级队列,实现一个小顶堆,从小到大排序
    // 每次都用新的q
    std::priority_queue <edge_Collapse_structure, std::vector<edge_Collapse_structure>, std::less<edge_Collapse_structure>> q;
    for(MyMesh::EdgeIter eit = mesh.edges_begin(); eit != mesh.edges_end(); ++eit)
    {
        Eigen::Matrix4f newQ = Q[eit->v0()] + Q[eit->v1()];
        Eigen::Matrix4f tQ = newQ;
        Eigen::Vector4f b(0.0f,0.0f,0.0f,1.0f);

        // 对Q求偏导得到的矩阵和Q区别在于:偏导后最后一行为[0, 0, 0, 1]
        tQ(3,0) = 0.0f;
        tQ(3,1) = 0.0f;
        tQ(3,2) = 0.0f;
        tQ(3,3) = 1.0f;
        Eigen::FullPivLU<Eigen::Matrix4f> lu(tQ);
        Eigen::Vector4f vnew;
        // if is invertible, solve the linear equation
        if(lu.isInvertible())
        {
            vnew = tQ.inverse() * b;
        }
        // else take the midpoint
        else
        {
            vnew = (v[eit->v0()] + v[eit->v1()]) / 2.0f;
        }
        //std::cout << vnew << std::endl;
        edge_Collapse_structure ts;
        ts.hf = eit->halfedge(0);
        ts.cost = vnew.transpose() * newQ * vnew;
        MyMesh::Point np(vnew[0], vnew[1], vnew[2]);
        ts.np = np;
        ts.vto = eit->halfedge(0).to();
        ts.vfrom = eit->halfedge(0).from();
        ts.Q_new = newQ;
        //
        q.push(ts);
    }
    mesh.request_vertex_status();
    mesh.request_edge_status();
    mesh.request_face_status();

    int i = 0;
    
    // 上面都是准备工作,
    // 真正进入到边收缩阶段,迭代it_num次
    while( i < it_num)
    {
        edge_Collapse_structure s = q.top();
        q.pop();
        if(mesh.status(s.vfrom).deleted() || mesh.status(s.vto).deleted())
            continue;
        if(s.vto_flag != flag[s.vto] || s.vfrom_flag != flag[s.vfrom])
            continue;
        MyMesh::VertexHandle tvh;
        if(mesh.is_collapse_ok(s.hf))
        {
            mesh.collapse(s.hf);
            tvh = s.vto;
            flag[s.vto] ++;
            flag[s.vfrom] ++;
        }

        else if(mesh.is_collapse_ok(mesh.opposite_halfedge_handle(s.hf)))
        {
            mesh.collapse(mesh.opposite_halfedge_handle(s.hf));
            tvh = s.vfrom;
            flag[s.vto] ++;
            flag[s.vfrom] ++;
        }
        else
        {
            continue;
        }

        mesh.set_point(tvh,s.np);
        Q[tvh] = s.Q_new;
        v[tvh][0] = s.np[0];
        v[tvh][1] = s.np[1];
        v[tvh][2] = s.np[2];
        v[tvh][3] = 1.0f;
        for(MyMesh::VertexOHalfedgeIter vh_it = mesh.voh_iter(tvh); vh_it.is_valid(); ++vh_it)
        {
            MyMesh::VertexHandle tt = vh_it->to();
            Eigen::Matrix4f newQ = s.Q_new + Q[tt];
            Eigen::Matrix4f tQ = newQ;
            Eigen::Vector4f b(0.0f,0.0f,0.0f,1.0f);
            tQ(3,0) = 0.0f;
            tQ(3,1) = 0.0f;
            tQ(3,2) = 0.0f;
            tQ(3,3) = 1.0f;
            Eigen::FullPivLU<Eigen::Matrix4f> lu(tQ);
            Eigen::Vector4f vnew;
            // if is invertible, solve the linear equation
            if(lu.isInvertible())
            {
                vnew = tQ.inverse() * b;
            }
                // else take the midpoint
            else
            {
                vnew = (v[tvh] + v[tt]) / 2.0f;
            }
            //std::cout << vnew << std::endl;
            edge_Collapse_structure ts;
            ts.hf = *vh_it;
            ts.cost = vnew.transpose() * newQ * vnew;
            MyMesh::Point np(vnew[0], vnew[1], vnew[2]);
            ts.np = np;
            ts.vto = tt;
            ts.vto_flag = flag[tt];
            ts.vfrom = tvh;
            ts.vfrom_flag = flag[tvh];
            ts.Q_new = newQ;
            q.push(ts);
        }
        i++;

    }
    mesh.garbage_collection();
}

老铁,点个在看呗 欢迎关注公众号:sumsmile /专注图形渲染、Android开发

参考资料

[1] Quadric Error Metrics: mgarland.org/files/paper…

[2] libigl tutorial: libigl.github.io/tutorial/