扩散模型改进--加快采样FastDPM

421 阅读1分钟

FastDPM

On Fast Sampling of Diffusion Probabilistic Models (ICML 2021 Workshop)

contribution

  • 针对扩散模型提出无需重新训练的快速采样框架,加快推理过程
  • 提供多种采样方式,在图像、语音生成等领域进行测试分析

Method

经典扩散模型在反向去噪需要很长的迭代过程(T=1000T=1000 in image synthesis (Ho et al., 2020)),FastDPM缩短采样数(S<<TS<<T)

  • 将离散的diffusion step推广到连续diffusion step
  • 设计一个建立在diffusion step(t)和 noise level(r) 的双向映射

image.png

Bijective mapping between Continuous Diffusion Steps and Noise Level

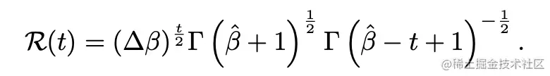
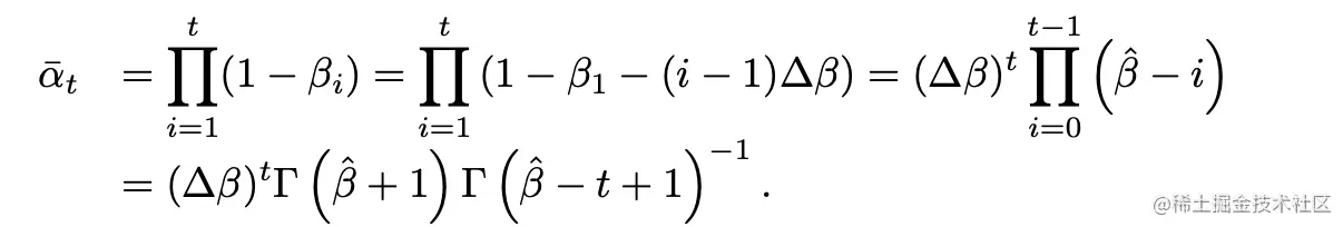
已知: image.png 定义: image.png 假设β\beta是线性分布 image.png 则: image.png

给定noise level计算diffusion step image.png image.png

Approximate the Diffusion Process

we aim to construct each step in the approximate diffusion process image.png noise level序列:1>r1>r2>...>rS>01>r_1>r_2>...>r_S>0 image.png

image.png

Approximate the Reverse Process

image.png

image.png

Experiments

  • dataset: CIFAR-10, CelebA(163k face images of resolution 64 × 64),LSUN-bedroom (∼3M bedroom images of resolution 256 × 256)
  • Models: 预训练模型DDPM,T=1000,β1=104,βT=102T=1000, \beta_1=10^{-4},\beta_T=10^{-2}

image.png

image.png image.png

image.png

image.png

image.png