验证与恢复二叉搜索树

2,252 阅读2分钟

持续创作,加速成长!这是我参与「掘金日新计划 · 10 月更文挑战」的第5天,点击查看活动详情

恢复二叉搜索树

题目

给你二叉搜索树的根节点 root ,该树中的两个节点被错误地交换。请在不改变其结构的情况下,恢复这棵树。

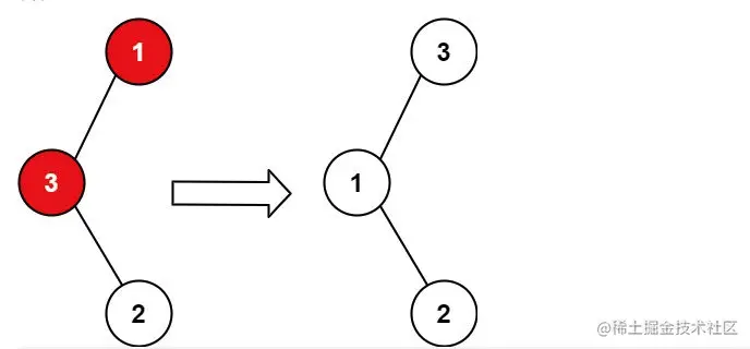
示例1:

image

输入:root = [1,3,null,null,2]
输出:[3,1,null,null,2]
解释:3 不能是 1 左孩子,因为 3 > 1 。交换 13 使二叉搜索树有效。

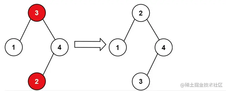
示例2:

image

输入:root = [3,1,4,null,null,2]
输出:[2,1,4,null,null,3]
解释:2 不能在 3 的右子树中,因为 2 < 3 。交换 23 使二叉搜索树有效。

解决思路

根据题意可知,是二叉搜索树,这就是意味着节点之间是有顺序关系的。 如果我们把整棵树都 遍历 一遍,将遍历的结果保存下来,比如放到一个数组中。 那么这个数组应该是有序的。

既然是有序的那就好办了,我们将这个有序的数组遍历一遍。 如果数组是完全有序的,那么直接返回就可以了。 否则,我们找到顺序不一致的两个下标i和j,将arr[i].val和arr[j].val的值互换一下即可。

代码实现

/**
 * Definition for a binary tree node.
 * public class TreeNode {
 *     int val;
 *     TreeNode left;
 *     TreeNode right;
 *     TreeNode() {}
 *     TreeNode(int val) { this.val = val; }
 *     TreeNode(int val, TreeNode left, TreeNode right) {
 *         this.val = val;
 *         this.left = left;
 *         this.right = right;
 *     }
 * }
 */
class Solution {
    public List<TreeNode> list;
    public void recoverTree(TreeNode root) {
        list = new ArrayList();
        inOrder(root);
        TreeNode x = null;
        TreeNode y = null;
        for (int i = 0; i < list.size() - 1; i++) {
            if (list.get(i).val > list.get(i+1).val){
                y = list.get(i+1);
                if (x == null) {
                    x = list.get(i);
                }
            }
        }

        if (x != null && y != null) {
            int tmp = x.val;
            x.val = y.val;
            y.val = tmp;
        }
    }

    public void inOrder(TreeNode root) {
        if (root == null) return;
        inOrder(root.left);
        list.add(root);
        inOrder(root.right); 
    }
}

复杂度分析

  • 时间复杂度:O(N),其中 N 为二叉搜索树的节点数。中序遍历需要 O(N) 的时间,判断两个交换节点在最好的情况下是 O(1),在最坏的情况下是 O(N),因此总时间复杂度为 O(N)。

  • 空间复杂度:O(N)。我们需要用 数组存储树的中序遍历列表

验证二叉搜索树

题目

给你一个二叉树的根节点 root ,判断其是否是一个有效的二叉搜索树。

有效 二叉搜索树定义如下:

  • 节点的左子树只包含 小于 当前节点的数。
  • 节点的右子树只包含 大于 当前节点的数。
  • 所有左子树和右子树自身必须也是二叉搜索树。

示例1:

image

示例2:

image

解题思路

我们知道二叉搜索树的特性就是,中序遍历后得到的是一个有序的数组,所以我们可以通过在中序遍历的时候检查当前节点的值是否大于前一个中序遍历的值,如果均大于说明这个序列是升序的,整棵树是二叉搜索树,否则不是。

代码实现

/**
 * Definition for a binary tree node.
 * public class TreeNode {
 *     int val;
 *     TreeNode left;
 *     TreeNode right;
 *     TreeNode() {}
 *     TreeNode(int val) { this.val = val; }
 *     TreeNode(int val, TreeNode left, TreeNode right) {
 *         this.val = val;
 *         this.left = left;
 *         this.right = right;
 *     }
 * }
 */
class Solution {
    public long pre = Long.MIN_VALUE;
    public boolean isValidBST(TreeNode root) {
        if (root == null) {
            return true;
        }

        if (!isValidBST(root.left)){
            return false;
        }
        if (root.val <= pre) {
            return false;
        }
        pre = root.val;
        return isValidBST(root.right);
    }
}

复杂度分析

  • 时间复杂度 : O(n),其中 n 为二叉树的节点个数。二叉树的每个节点最多被访问一次,因此时间复杂度为 O(n)。

  • 空间复杂度 : O(n),其中 n 为二叉树的节点个数。栈最多存储 n 个节点,因此需要额外的 O(n) 的空间。

我是杰少,如果您觉的我写的不错,那请给我 点赞+评论+收藏 后再走哦!

往期文章:

请你喝杯 ☕️ 点赞 + 关注哦~

  1. 阅读完记得给我点个赞哦,有👍 有动力
  2. 关注公众号--- HelloWorld杰少,第一时间推送新姿势

最后,创作不易,如果对大家有所帮助,希望大家点赞支持,有什么问题也可以在评论区里讨论😄~**