总结几个二叉树概念:高度,深度,坡度

884 阅读9分钟

持续创作,加速成长!这是我参与「掘金日新计划 · 10 月更文挑战」的第4天,点击查看活动详情

最小高度树

题目

给定一个有序整数数组,元素各不相同且按升序排列,编写一个算法,创建一棵高度最小的二叉搜索树。

示例

image

解题思路

首先我们先复习一下二叉搜索树的定义:对于树中的所有子树,左子树上的值都小于根节点的值,右子树上的值都大于根节点上的值。通过中序遍历可以得到一个升序序列。

那如何保证高度最小呢?

既然是要构成深度最小的数,那么数就应该尽可能的饱满,当树中的任意结点的左右子树高度差都不超过 1 时,整棵树的深度最小,所以我们就选择数组的中间点,那么左边和右边都是同样的大小。

下面是一种构造最小高度树的思路:

如果序列长度为 0,那么是一棵空树。 如果序列长度为 1,那么只有一个根节点。 如果长度大于 1,那么选取中间位置的数赋给根节点,然后前一半递归构建左子树,后一半递归构建右子树。

代码实现

/**
 * Definition for a binary tree node.
 * public class TreeNode {
 *     int val;
 *     TreeNode left;
 *     TreeNode right;
 *     TreeNode(int x) { val = x; }
 * }
 */
class Solution {
    public TreeNode sortedArrayToBST(int[] nums) {
        // 序列长度为 0,那么是一棵空树。
        if (nums.length == 0) {
            return null;
        }

        return createMinHeightBST(nums, 0, nums.length-1);
    }

    public TreeNode createMinHeightBST(int[] nums, int start, int end){
        if (start > end) {
            return null;
        }
        // 选取中间位置
        int mid = (start + end) >> 1;
        //填充根节点
        TreeNode root = new TreeNode(nums[mid]);
        //构造左子树
        root.left = createMinHeightBST(nums, start, mid - 1);
        //构造右子树
        root.right = createMinHeightBST(nums, mid + 1, end);
        return root;
    }
}

复杂度分析

  1. 数组中的元素都使用1次,时间复杂度为O(n).

  2. 递归使用栈辅助空间,空间复杂度O(log(n)).

二叉树的坡度

题目

给定一个有序整数数组,元素各不相同且按升序排列,编写一个算法,创建一棵高度最小的二叉搜索树。

示例

image

解题思路

首先我们先复习一下二叉搜索树的定义:对于树中的所有子树,左子树上的值都小于根节点的值,右子树上的值都大于根节点上的值。通过中序遍历可以得到一个升序序列。

那如何保证高度最小呢?

既然是要构成深度最小的数,那么数就应该尽可能的饱满,当树中的任意结点的左右子树高度差都不超过 1 时,整棵树的深度最小,所以我们就选择数组的中间点,那么左边和右边都是同样的大小。

下面是一种构造最小高度树的思路:

如果序列长度为 0,那么是一棵空树。 如果序列长度为 1,那么只有一个根节点。 如果长度大于 1,那么选取中间位置的数赋给根节点,然后前一半递归构建左子树,后一半递归构建右子树。

代码实现

/**
 * Definition for a binary tree node.
 * public class TreeNode {
 *     int val;
 *     TreeNode left;
 *     TreeNode right;
 *     TreeNode(int x) { val = x; }
 * }
 */
class Solution {
    public TreeNode sortedArrayToBST(int[] nums) {
        // 序列长度为 0,那么是一棵空树。
        if (nums.length == 0) {
            return null;
        }

        return createMinHeightBST(nums, 0, nums.length-1);
    }

    public TreeNode createMinHeightBST(int[] nums, int start, int end){
        if (start > end) {
            return null;
        }
        // 选取中间位置
        int mid = (start + end) >> 1;
        //填充根节点
        TreeNode root = new TreeNode(nums[mid]);
        //构造左子树
        root.left = createMinHeightBST(nums, start, mid - 1);
        //构造右子树
        root.right = createMinHeightBST(nums, mid + 1, end);
        return root;
    }
}

复杂度分析

  1. 数组中的元素都使用1次,时间复杂度为O(n).

  2. 递归使用栈辅助空间,空间复杂度O(log(n)).

二叉树的最大深度

题目:

给定一个二叉树,找出其最大深度。

二叉树的深度为根节点到最远叶子节点的最长路径上的节点数。

说明: 叶子节点是指没有子节点的节点。

示例:

给定二叉树 [3,9,20,null,null,15,7]

image

返回它的最大深度 3.

解题思路

由题目可知:找树的最大深度,说白了就是这棵树有几层。

这里我们用递归的思想去解决问题,我们让左子树算左子树的深度,右子树算右子树的深度。

按照递归三部曲:

  1. 确定递归函数的参数和返回值:参数就是传入树的根节点,返回就返回这棵树的深度,所以返回值为 int 类型。

  2. 结束条件:如果节点为空,则返回0(该方法也处理了二叉树根节点为空的情况)。

  3. 递归函数主功能:先求它的左子树的深度,再求的右子树的深度,最后取左右深度最大的数值 再 +1 (加1是因为算上当前中间节点)就是目前节点为根节点的树的深度。

代码实现

/**
 * Definition for a binary tree node.
 * public class TreeNode {
 *     int val;
 *     TreeNode left;
 *     TreeNode right;
 *     TreeNode() {}
 *     TreeNode(int val) { this.val = val; }
 *     TreeNode(int val, TreeNode left, TreeNode right) {
 *         this.val = val;
 *         this.left = left;
 *         this.right = right;
 *     }
 * }
 */
class Solution {
    public int maxDepth(TreeNode root) {
        return root == null ? 0 : Math.max(maxDepth(root.left), maxDepth(root.right)) + 1; 
    }
}

复杂度分析

  • 时间复杂度:O(n),其中 n 为二叉树的节点个数。与方法一同样的分析,每个节点只会被访问一次。

  • 空间复杂度:此方法空间的消耗取决于队列存储的元素数量,其在最坏情况下会达到 O(n)。

二叉树的坡度

题目

给定一个二叉树,计算 整个树 的坡度 。

一个树的 节点的坡度 定义即为,该节点左子树的节点之和和右子树节点之和的 差的绝对值 。如果没有左子树的话,左子树的节点之和为 0 ;没有右子树的话也是一样。空结点的坡度是 0 。

整个树 的坡度就是其所有节点的坡度之和。

示例1:

image

输入:root = [1,2,3]
输出:1
解释:
节点 2 的坡度:|0-0| = 0(没有子节点)
节点 3 的坡度:|0-0| = 0(没有子节点)
节点 1 的坡度:|2-3| = 1(左子树就是左子节点,所以和是 2 ;右子树就是右子节点,所以和是 3 )
坡度总和:0 + 0 + 1 = 1

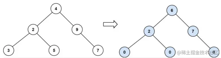
示例2

image

输入:root = [4,2,9,3,5,null,7]
输出:15
解释:
节点 3 的坡度:|0-0| = 0(没有子节点)
节点 5 的坡度:|0-0| = 0(没有子节点)
节点 7 的坡度:|0-0| = 0(没有子节点)
节点 2 的坡度:|3-5| = 2(左子树就是左子节点,所以和是 3 ;右子树就是右子节点,所以和是 5 )
节点 9 的坡度:|0-7| = 7(没有左子树,所以和是 0 ;右子树正好是右子节点,所以和是 7 )
节点 4 的坡度:|(3+5+2)-(9+7)| = |10-16| = 6(左子树值为 3、5 和 2 ,和是 10 ;右子树值为 9 和 7 ,和是 16 )
坡度总和:0 + 0 + 0 + 2 + 7 + 6 = 15

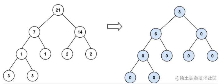
示例3:

image

输入:root = [21,7,14,1,1,2,2,3,3]
输出:9

解题思路

根据题意可知,树的坡度就是其所有节点的坡度之和,所以我们可以设计递归函数计算每个节点的坡度。

具体思路如下:

  1. 要计算每个节点的坡度,就要计算每个节点的 左子树的节点之和 与 右子树的节点之和;
  2. 左子树的节点之和 = 左子树根节点的值 + 左子树的左子树节点之和 + 左子树的右子树节点之和;
  3. 继续这样分解下去,直到分解到空树,空树的节点之和为0,作为递归出口;

代码实现

/**
 * Definition for a binary tree node.
 * public class TreeNode {
 *     int val;
 *     TreeNode left;
 *     TreeNode right;
 *     TreeNode() {}
 *     TreeNode(int val) { this.val = val; }
 *     TreeNode(int val, TreeNode left, TreeNode right) {
 *         this.val = val;
 *         this.left = left;
 *         this.right = right;
 *     }
 * }
 */
class Solution {
    // 坡度
    private int tilt = 0;
    public int findTilt(TreeNode root) {
        traverse(root);
        return tilt;
    }

    public int traverse(TreeNode root) {
        // 终止条件,空树的节点之和为0
        if (root == null) {
            return 0;
        } 
        // 计算当前节点的左子树节点之和
        int left = traverse(root.left);
        // 计算当前节点的右子树节点之和
        int right = traverse(root.right);
        // 计算当前节点的坡度并加入结果
        tilt += Math.abs(left - right);
        // 返回以当前节点为根的整棵树的节点之和
        return left + right + root.val;
    }
}

复杂度分析

  • 时间复杂度:O(n),其中 n 是结点的数目。每个结点访问一次。

  • 空间复杂度:递归使用栈辅助空间,空间复杂度为O(n)。

我是杰少,如果您觉的我写的不错,那请给我 点赞+评论+收藏 后再走哦!

往期文章:

请你喝杯 ☕️ 点赞 + 关注哦~

  1. 阅读完记得给我点个赞哦,有👍 有动力
  2. 关注公众号--- HelloWorld杰少,第一时间推送新姿势

最后,创作不易,如果对大家有所帮助,希望大家点赞支持,有什么问题也可以在评论区里讨论😄~**