持续创作,加速成长!这是我参与「掘金日新计划 · 10 月更文挑战」的第2天,点击查看活动详情
题目:
给定一个二叉树,找出其最大深度。
二叉树的深度为根节点到最远叶子节点的最长路径上的节点数。
说明: 叶子节点是指没有子节点的节点。
示例:
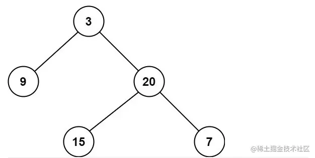
给定二叉树 [3,9,20,null,null,15,7]
返回它的最大深度 3.
解题思路
由题目可知:找树的最大深度,说白了就是这棵树有几层。
这里我们用递归的思想去解决问题,我们让左子树算左子树的深度,右子树算右子树的深度。
按照递归三部曲:
-
确定递归函数的参数和返回值:参数就是传入树的根节点,返回就返回这棵树的深度,所以返回值为 int 类型。
-
结束条件:如果节点为空,则返回0(该方法也处理了二叉树根节点为空的情况)。
-
递归函数主功能:先求它的左子树的深度,再求的右子树的深度,最后取左右深度最大的数值 再 +1 (加1是因为算上当前中间节点)就是目前节点为根节点的树的深度。
代码实现
/**
* Definition for a binary tree node.
* public class TreeNode {
* int val;
* TreeNode left;
* TreeNode right;
* TreeNode() {}
* TreeNode(int val) { this.val = val; }
* TreeNode(int val, TreeNode left, TreeNode right) {
* this.val = val;
* this.left = left;
* this.right = right;
* }
* }
*/
class Solution {
public int maxDepth(TreeNode root) {
return root == null ? 0 : Math.max(maxDepth(root.left), maxDepth(root.right)) + 1;
}
}
复杂度分析
-
时间复杂度:O(n),其中 n 为二叉树的节点个数。与方法一同样的分析,每个节点只会被访问一次。
-
空间复杂度:此方法空间的消耗取决于队列存储的元素数量,其在最坏情况下会达到 O(n)。
Hello, 大家好,今天是我参加8月更文的第 10 天,今天给大家带来的关于二叉树相关的算法题是二叉树的最小深度,正文如下:
题目:
给定一个二叉树,找出其最小深度。
最小深度是从根节点到最近叶子节点的最短路径上的节点数量。
说明:叶子节点是指没有子节点的节点。
示例1:
输入:root = [3,9,20,null,null,15,7]
输出:2
示例2:
输入:root = [2,null,3,null,4,null,5,null,6]
输出:5
解题思路
首先可以想到使用深度优先搜索的方法,遍历整棵树,记录最小深度。
对于每一个非叶子节点,我们只需要分别计算其左右子树的最小叶子节点深度。这样就将一个大问题转化为了小问题,可以递归地解决该问题。
-
当前节点 root 为空时,说明此处树的高度为 0,0 也是最小值。
-
当前节点 root 的左子树和右子树都为空时,说明此处树的高度为 1,1 也是最小值。
-
如果为其他情况,则说明当前节点有值,且需要分别计算其左右子树的最小深度,返回最小深度 +1,+1 表示当前节点存在有 1 个深度。
代码实现
/**
* Definition for a binary tree node.
* public class TreeNode {
* int val;
* TreeNode left;
* TreeNode right;
* TreeNode() {}
* TreeNode(int val) { this.val = val; }
* TreeNode(int val, TreeNode left, TreeNode right) {
* this.val = val;
* this.left = left;
* this.right = right;
* }
* }
*/
class Solution {
public int minDepth(TreeNode root) {
if(root == null){
return 0;
} else if (root.left == null) {
return minDepth(root.right) + 1;
} else if (root.right == null){
return minDepth(root.left) + 1;
} else {
return Math.min(minDepth(root.left), minDepth(root.right)) + 1;
}
}
}
复杂度分析
-
时间复杂度:O(N),其中 N 是树的节点数。对每个节点访问一次。
-
空间复杂度:O(H),其中 H 是树的高度。空间复杂度主要取决于递归时栈空间的开销,最坏情况下,树呈现链状,空间复杂度为 O(N)。平均情况下树的高度与节点数的对数正相关,空间复杂度为 O(log N)。
我是杰少,如果您觉的我写的不错,那请给我 点赞+评论+收藏 后再走哦!
往期文章:
- 使用 Google Breakpad 来助力解决程序崩溃
- UE4 多人游戏服务器探索
- 使用虚幻引擎自动化工具实现自动化部署
- 如何在 UE4 中制作一扇自动开启的大门
- 如何在 UE4 中用代码去控制角色移动
- 如何给 UE4 场景添加游戏角色
- UE4:Android 平台开发实践指南
- UE4 开发避坑指南(持续更新)
- 新年开工啦,放个小烟花庆祝一下
- 聊聊与苹果审核员的爱恨情仇(下)
- 聊聊与苹果审核员的爱恨情仇(上)
- 一名普通工具人的 2021 | 2021年终总结
- 二叉树刷题总结:二叉搜索树的属性
- 二叉树总结:二叉树的属性
- 二叉树总结:二叉树的修改与构造
- StoreKit2 有这么香?嗯,我试过了,真香
- 看完这篇文章,再也不怕面试官问我如何构造二叉树啦!
- 那帮做游戏的又想让大家氪金,太坏了!
- 手把手带你撸一个网易云音乐首页 | 适配篇
- 手把手带你撸一个网易云音乐首页(三)
- 手把手带你撸一个网易云音乐首页(二)
- 手把手带你撸一个网易云音乐首页(一)
- 代码要写注释吗?写你就输了
- Codable发布这么久我就不学,摸鱼爽歪歪,哎~就是玩儿
- iOS 优雅的处理网络数据,你真的会吗?不如看看这篇
- UICollectionView 自定义布局!看这篇就够了
请你喝杯 ☕️ 点赞 + 关注哦~
- 阅读完记得给我点个赞哦,有👍 有动力
- 关注公众号--- HelloWorld杰少,第一时间推送新姿势
最后,创作不易,如果对大家有所帮助,希望大家点赞支持,有什么问题也可以在评论区里讨论😄~**