44. 表达式求值(中缀表达式)

179 阅读4分钟

携手创作,共同成长!这是我参与「掘金日新计划 · 8 月更文挑战」的第6天,点击查看活动详情

表达式求值(中缀)

前提准备

需要开辟俩个栈,一个用于存放数字,另一个用于存放运算符。 需要用到unordered_map用来存放运算符的优先级

步骤

(2 + 2 * 3)+ (4 * 5) 普通的式子就是中缀表达式

  • 从头到尾读取中缀表达式的每个对象,对不同对象按不同的情况处理。
1. 运算数: 直接输出;
2. 左括号: 压入堆栈;
3. 右括号:将栈顶的运算符弹出并输出,直到遇到左括号(出栈,不输出)
4. 运算符:
    若优先级大于栈顶运算符时,则把它压栈;
    若优先级小于等于栈顶运算符时,将栈顶运算符弹出并输出;再比
较新的栈顶运算符,直到该运算符大于栈顶运算符优先级为止,然后将该运算符压栈;
5 若各对象处理完毕,则把堆栈中存留的运算符一并输!。 

图解

“表达式求值”问题,两个核心关键点:

(1)双栈,一个操作数栈,一个运算符栈

(2)运算符优先级,栈顶运算符,和,即将入栈的运算符的优先级比较

如果栈顶的运算符优先级低,新运算符直接入栈

如果栈顶的运算符优先级高,先出栈计算,新运算符再入栈

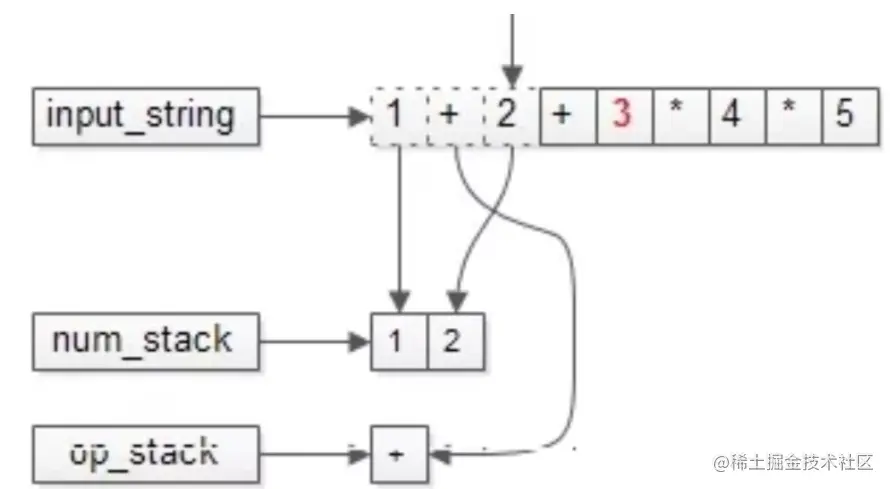
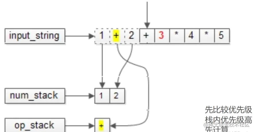
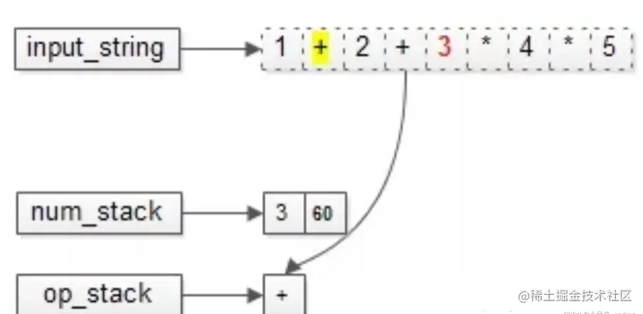
仍以1 + 2 + 3 * 4 * 5举例,看是如何利用上述两个关键点实施计算的。

首先,这个例子只有 + 和 * 两个运算符,所以它的运算符表是:

这里的含义是:

(1)如果栈顶是+,即将入栈的是+,栈顶优先级高,需要先计算,再入栈

(2)如果栈顶是+,即将入栈的是*,栈顶优先级低,直接入栈

(3)如果栈顶是*,即将入栈的是+,栈顶优先级高,需要先计算,再入栈

(4)如果栈顶是*,即将入栈的是*,栈顶优先级高,需要先计算,再入栈
1661154189694.png

一开始,初始化好输入的字符串,以及操作数栈,运算符栈。

1661154215025.png

一步步,扫描字符串,操作数一个个入栈,运算符也入栈。

1661154231032.png

下一个操作符要入栈时,需要先比较优先级。

栈内的优先级高,必须先计算,才能入栈。

1661154245239.png

计算的过程为:

(1)操作数出栈,作为num2;

(2)操作数出栈,作为num1;

(3)运算符出栈,作为op;

(4)计算出结果;

1661154271279.png

(5)结果入操作数栈;
1661154287735.png

接下来,运算符和操作数才能继续入栈。下一个操作符要入栈时,继续比较与栈顶的优先级。

栈内的优先级低,可以直接入栈。

1661154300949.png

字符串继续移动。

1661154327587.png

又要比较优先级了。
1661154349336.png

栈内的优先级高,还是先计算(3*4=12),再入栈。

1661154362587.png

不断入栈,直到字符串扫描完毕。

1661154374952.png

不断出栈,直到得到最终结果3+60=63,算法完成。

题目

给定一个表达式,其中运算符仅包含 +,-,*,/(加 减 乘 整除),可能包含括号,请你求出表达式的最终值。

注意:

  • 数据保证给定的表达式合法。
  • 题目保证符号 - 只作为减号出现,不会作为负号出现,例如,-1+2,(2+2)*(-(1+1)+2) 之类表达式均不会出现。
  • 题目保证表达式中所有数字均为正整数。
  • 题目保证表达式在中间计算过程以及结果中,均不超过 231−1。
  • 题目中的整除是指向 0 取整,也就是说对于大于 0 的结果向下取整,例如 5/3=1,对于小于 0 的结果向上取整,例如 5/(1−4)=−1
  • C++和Java中的整除默认是向零取整;Python中的整除//默认向下取整,因此Python的eval()函数中的整除也是向下取整,在本题中不能直接使用。

输入格式

共一行,为给定表达式。

输出格式

共一行,为表达式的结果。

数据范围

表达式的长度不超过 105。

输入样例:

(2+2)*(1+1)

输出样例:

8

代码

#include<iostream>
#include<unordered_map>
#include<stack>

using namespace std;


stack<int> num;      //存储运算数 
stack<char> op;     //存储运算符
                    //建立映射来判断运算优先级
unordered_map<char, int> cmp = {
    {'+', 1}, {'-', 1} , {'*', 2}, {'/', 2}
};
//模拟一次算术操作
void eval(void){
    int b = num.top();  num.pop();    //第二个操作数
    int a = num.top();  num.pop();    //第一个操作数
    char opr = op.top();    op.pop(); //运算符

    int x;                             //结果 
    //计算结果
    if(opr == '+')  x = a + b;
    else if(opr == '-') x = a - b;
    else if(opr == '*') x= a * b;
    else    x = a / b;
    num.push(x);                       //结果入栈
}

int main(){
    string str;
    cin >> str;

    for(int i = 0; i < str.size(); i++){
        char c = str[i];
        //读入运算数
        if(isdigit(c)){
            int j = i, x = 0;
            while( j < str.size() && isdigit(str[j])){
                //j++ 迭代不能忘 
                x = x *  10 + str[j ++] - '0';   //当输入的不是一个数而是22这种大于10的数,此时需要遍历整个字符,遇到符号位停止
            }
            num.push(x);
            //由于每轮循环有i++,我们需要倒指向最后一个数字
            i = j - 1;
            
        }else if( c == '(' ){
            //标记一下,括号内数据
            op.push(c);
            
         //括号特殊,遇到左括号直接入栈,遇到右括号计算括号里面的
        }else if( c == ')' ){
            //括号的优先级,先算括号
            while( op.size() && op.top() != '(' )   eval();
            //左括号可以弹出
            op.pop();
            
        }else{
            //得先把乘除法算了再算加减
            //这里必须得带等于号 我们这题都是正整数计算
            // 0 - 5 + 3 
            //如果不算,上式会被错误计算成 -8
            //待入栈运算符优先级低,则先计算
            while( op.size() && cmp[op.top()] >= cmp[c])    eval();
            //操作符入栈
            op.push(c);
        }
    }
  
    while(op.size())    eval();    //剩余的进行计算
    cout << num.top() << endl;     //输出结果
    return 0;
}