电路基础

498 阅读7分钟

1 三极管 BJT

三极管有三个极:集电极、发射极和基极。对应有三种接法:共集电极、共发射极和共基极。

image.png

比如说共发射极,就是输入和输出回路共用了发射极。

2 MOSFET

MOS (Mental-Oxide-Semiconductor)就是金属氧化物半导体,是它最初的制作材料,不过现在已经不用金属氧化物了,改用多晶硅了。FET (Field-Effect-Transistor)指的是场效应管。

MOS管有4个极:栅极、源极、漏极、体极。根据沟道类型分为NMOS和PMOS。

BJT和MOS区别:

  1. BJT是电流驱动型的,功耗大,传输延迟小,基极电流限制了它的集成度没法很高。

  2. MOS管是电压驱动型的,功耗小,输入阻抗大,输出阻抗小,栅极几乎没有电流,因此集成度高。

3 CMOS

下拉网络里,输入驱动NMOS的栅极,上拉网络里,输入驱动PMOS的栅极。

TP和TN总是一管导通而另一管截止,流过TP和TN的静态电流极小(纳安数量级),因而CMOS反相器的静态功耗极小,这是CMOS电路最突出的优点之一。

锁存器和触发器

同步RS触发器:

基本的RS锁存器是当S=1&R=0时,输出Q=1;S=0&R=1时,输出Q=0;R=S=0时状态保持;但是不能同时给R=S=1,输出Q和~Q同时置1之后会不确定。

image.png

主从RS触发器:解决了同步RS触发器在cp=1期间,输出状态随着输入信号的改变而多次翻转的问题。 image.png

JK触发器:JK触发器是主从RS触发器加了反馈,解决了RS触发器不允许R=S=1的约束。

设法 使电路能够自动满足RS=0的约束条件。 image.png

D触发器: JK触发器+一个反相器 。 时钟沿触发

逻辑符号: image.png

T触发器:JK触发器的J=K=T。

触发器和锁存器的区别:触发器是边沿触发,锁存器是电平触发。锁存器在不锁存数据时,输出会随输入变化,但一旦锁存数据,输出不受输入影响。

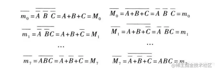
最大项和最小项

image.png

最小项:n个变量的逻辑乘,即与形式,每个变量以原变量或者反变量的形式出现一次。

n个变量共有2^n个最小项。用m表示,如ABC,表示为m0。

最大项:n个变量的逻辑和,即或形式,每个变量以原变量或者反变量的形式出现一次。

n个变量共有2^n个最大项。用M表示,如A+B+C,表示为M0。

全部最小项之和恒等于1;全部最大项之积恒等于0。

任意两个最小项之积等于0;任意两个最大项之和等于1。

最小项的反是最大项,最大项的反是最小项。

根据反演律:

image.png

加法器的使用和类别:

半加器: 一位的加法器

image.png

co是进位,s是加数和被加数的和。

全加器: 实现全加运算的逻辑电路。

image.png

Ci-1:为相邻低位的进位。

CI为相邻高位的进位。 S为本位和

多位二进制加法器

串行进位二进制加法器:

全加器的个数等于相加数的位数,高位的运算必须等低位运算结束,送来进位信号后才能进行。电路简单,连接方便,缺点是速度低。

超前进位并行加法器

74LS283 四位二进制超前进位加法器

进位信号不再逐级传递,而采用超前进位技术。

SRAM的结构和基本原理

SRAM的结构 主要是一个Memory的array阵列,里面是具体存放的数据;通过control模块来控制读写操作,

控制模块有CS片选端,WE(Write Enable)和OE(Output Enable);还有row decoder和column decoder,功能类似是一个N输入的选择器,用来选择具体哪一行和哪一列;还有一般会有个FIFO,来作为写memory时候的缓冲;

SRAM的读写操作 1)读数据:首先通过地址总线来传地址,送到整个SRAM的Addr 输入引脚;

之后用CS具体选到某一个SRAM里,把地址送到row decorder和column decoder里;

然后使能OE来知道是要读出数据;之后decorder定位到的地址里的数据读出来,从Dout送到数据总线。

(2)写数据:通过地址总线传地址,送到Addr输入引脚;并且数据总线把数据传到Data in引脚;然后CS片选选到某一个SRAM,使能WE,并且通过送到decorder的地址来定位到要写数据的具体某一行某一列,然后把数据写进去。

SRAM和DRAM:

都是可擦除的,也就是掉电数据会消失的。SRAM主要用在CPU cache里,因为它的访问速度很快,但它存储量不大;DRAM一般用在主Memory里,需要周期性地刷新。靠电容来存储。

DRAM(Dynamic Random Access Memory,动态随机存储器)使用电容存储,需要每隔一段时间刷新。

SRAM(Static Random Access Memory,静态随机存储器)

SDRAM:(Synchronous Dynamic Random Access Memory,同步动态随机存取存储器 ,为DRAM的一种,,同步是指Memory工作需要同步时钟,动态是指存储阵列需要不断的刷新来保证数据不丢失;;随机是指数据不是线性依次存储,而是由指定地址进行数据读写。

DDR SDRAM(Double Data Rate SDRAM):为双信道同步动态随机存取内存,是新一代的SDRAM技术。DDR内存芯片的数据预取宽度(Prefetch)为2 bit(SDRAM的两倍)。

DDR2 SDRAM(Double Data Rate Two SDRAM):为双信道两次同步动态随机存取内存。DDR2内存Prefetch又再度提升至4 bit(DDR的两倍)

DDR3 SDRAM(Double Data Rate Three SDRAM):为双信道三次同步动态随机存取内存。DDR3内存Prefetch提升至8 bit,即每次会存取8 bits为一组的数据

竞争与冒险

由于向相反方向变化的输入信号经过不同的路径,有不同的延时,导致到达某个门的时间不一致,叫竞争

由于竞争现象所引起的电路输出产生了毛刺,就叫冒险

如何判断是否存在竞争与冒险

(1)通过布尔表达式来判断:如果布尔表达式中有相反的信号,比如Y=A·B+A_not·C,当B和C都为1的时候,如果A的值跳转,就会发生竞争,进而在跳转的过渡时间段可能会产生毛刺,也就是冒险。

(2)通过卡诺图来判断:如果有相切的框,就可能会有竞争冒险。

竞争与冒险的解决方法

1 加滤波电容,消除毛刺的影响:在门电路的输出端引入滤波电容,来滤掉毛刺

2 加选通信号,避开毛刺

3 增加冗余项,消除逻辑冒险

4 改用时序逻辑,用D-FF打一拍

5 转换成格雷码再输入,因为格雷码每次只有1bit变化

冗余项消去逻辑冒险

改用格雷码输入,格雷码只有一位变化

门电路输出加滤波电容,消除毛刺

改用时序逻辑,用D触发器打一拍

冒险的分类:根据冒险的产生原因分为逻辑冒险和功能冒险:逻辑冒险是指因为电路中一个输入信号发生变化产生的冒险,

;功能冒险指因为两个或者多个信号同时发生变化,但到达门的输入端有时间差而产生了毛刺,叫功能冒险。