高斯混合模型GMM与Python原生实现

1,876 阅读8分钟
  • 简明数学原理
  • 工程实现导向
  • 案例导向,从论文举例

GMM建模

GMM的产生还是来源于统计学对问题的建模思路。

统计学中我们通常会用已知分布去拟合观测到的数据,用极大似然估计MLE或极大后验估计MAP对参数进行推断。最常用来拟合的分布就是高斯分布。我们可以简单地将数据建模为单一的高斯分布,若想让模型复杂一些,数据分布服从多个高斯分布的混合;或者有了数据分布依赖一些隐变量(Latent Variable)的先验,我们可以用GMM建模。下面是GMM的pdf(概率密度函数):

p(x)=k=1KwkN(μk,Σk)p(x)=\sum_{k=1}^{K} w_{k} \mathcal{N}\left(\mu_{k}, \Sigma_{k}\right)

其中wkw_k是模型中每个高斯分布的概率,换言之就是分布的分布。这里回忆一下常用分布族的知识,如果认为模型中有两个类别的高斯(二项分布), ww 的先验可以认为从β\beta分布产出。如果认为模型中大于两个高斯(多项式分布),ww 的先验可以认为从Dirichlet分布产出。

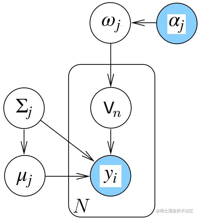
好了,GMM建模完毕,可以看出,GMM是一个典型的生成模型,因为我们没有把每个类的概率看成一个固定不变的参数,而是来自先验分布。由此,我们可以画出GMM的概率图模型:

其中α\alpha 表示多个高斯类别是否均匀。VnV_n 是由每个高斯类别概率依据Dirichlet分布生成的样本个数。数据xix_i (图中为yiy_i )则由不同的高斯分布参数产生。以两个类别画出符合GMM分布的数据分布:

EM算法

隐变量分布的参数ww 未知,无法直接用MLE算出GMM的pdf,这种含有隐变量的生成模型非常适合用EM算法解决。

EM算法的提出就是为了解决含有隐变量的生成模型,他的核心思想在于对数据的对数概率logp(xθ) \log p(x|\theta)的分解,用假设的隐变量分布q(w)q(w)进行:

logp(xθ)=logp(w,xθ)logp(wx,θ)=logp(w,xθ)q(w)logp(wx,θ)q(w)\log p(x \mid \theta)=\log p(w, x \mid \theta)-\log p(w \mid x, \theta)=\log \frac{p(w, x \mid \theta)}{q(w)}-\log \frac{p(w \mid x, \theta)}{q(w)}

两边同时对p(wx,θ)p(w|x, \theta) 取期望:

 Left : wq(w)logp(xθ)dw=logp(xθ) Right: zq(w)logp(w,xθ)q(w)dwzq(w)logp(wx,θ)q(w)dz=ELBO+KL(p(wx,θ),q(w))\begin{array}{l}\text { Left : } \int_{w} q(w) \log p(x \mid \theta) d w=\log p(x \mid \theta) \\ \text { Right: } \int_{z} q(w) \log \frac{p(w, x \mid \theta)}{q(w)} d w-\int_{z} q(w) \log \frac{p(w \mid x, \theta)}{q(w)} d z=E L B O+K L(p(w \mid x, \theta), q(w))\end{array}

可以看出最大化对数概率logp(xθ) \log p(x|\theta)的方法就是让ELBOE L B O最大,让我们假定的隐变量分布q(w)q(w) 和后验分布p(wx,θ)p(w|x, \theta) 的KL散度最小。最优化的思想是固定一个参数,去优化另一个参数。也就衍生出了EM中的E步和M步:

E-step

固定上一步骤的θt\theta^t ,优化KL散度,使得分布q(w)q(w)最优(KL散度下降)。优于可以数学证明这一步的解其实是q(w)=p(wx,θt)q(w) = p(w|x, \theta^t) ,所以狭义的EM算法,这一步也被成为Evaluation。即用q(w)=p(wx,θt)q(w) = p(w|x, \theta^t)去估计p(xθ)p(x|\theta)

M-step

这一步就是固定了隐变量分布q(w)q(w), 来优化参数θ\theta:

θ^=argmaxθwqt+1(w)logp(x,wθ)qt+1(w)dw\hat{\theta}=\underset{\theta}{\operatorname{argmax}} \int_{w} q^{t+1}(w) \log \frac{p(x, w \mid \theta)}{q^{t+1}(w)} d w

把两个步骤整合一下,其实EM算法就一个关键公式(我们唯一需要记住的公式):

θt+1=argmaxθwlog[p(x,wθ)]p(wx,θt)dw=Ewx,θt[logp(x,wθ)]\theta^{t+1}=\underset{\theta}{\operatorname{argmax}} \int_{w} \log [p(x, w \mid \theta)] p\left(w \mid x, \theta^{t}\right) d w=\mathbb{E}_{w \mid x, \theta^{t}}[\log p(x, w \mid \theta)]

可以从数学严格证明logp(xθt)logp(xθt+1)\log p\left(x \mid \theta^{t}\right) \leq \log p\left(x \mid \theta^{t+1}\right) 成立.

EM求解GMM

我们需要做的很简单,把GMM模型的参数假设套入EM关键迭代公式,算出来每个参数的梯度即可。

我们对EM迭代式进一步计算、简化:

Q(θ,θt)=i=1Nwilogp(xi,wiθ)p(wixi,θt)Q\left(\theta, \theta^{t}\right)=\sum_{i=1}^{N} \sum_{w_{i}} \log p\left(x_{i}, w_{i} \mid \theta\right) p\left(w_{i} \mid x_{i}, \theta^{t}\right)

对于联合分布p(x,wθ) p(x, w|\theta) ,我们一般处理为能计算出的先验乘以似然:

p(x,wθ)=p(wθ)p(xw,θ)=pwN(xμw,Σw)p(x, w \mid \theta)=p(w \mid \theta) p(x \mid w, \theta)=p_{w} \mathcal{N}\left(x \mid \mu_{w}, \Sigma_{w}\right)

对于后验p(wx,θ)p(w|x, \theta),他的计算是整个生成模型最麻烦之处,需要动用积分:

p(wx,θt)=p(x,wθt)p(xθt)=pwtN(xμwt,Σwt)kpktN(xμkt,Σkt)p\left(w \mid x, \theta^{t}\right)=\frac{p\left(x, w \mid \theta^{t}\right)}{p\left(x \mid \theta^{t}\right)}=\frac{p_{w}^{t} \mathcal{N}\left(x \mid \mu_{w}^{t}, \Sigma_{w}^{t}\right)}{\sum_{k} p_{k}^{t} \mathcal{N}\left(x \mid \mu_{k}^{t}, \Sigma_{k}^{t}\right)}

在GMM模型中,pk=wkp_k = w_k 表示每个高斯类别viv_i的概率,我们把GMM中上述后验概率记做rjir_{ji} 表示样本xix_i属于类别wjw_j :

rj,i=p(wx,θt)=ωjN(yiμj,Σj)jωjN(yiμj,Σj)r_{j, i}= p\left(w \mid x, \theta^{t}\right) =\frac{\omega_{j} \mathcal{N} \left(y_{i} \mid \mu_{j}, \Sigma_{j}\right)}{\sum_{j} \omega_{j} \mathcal{N} \left(y_{i} \mid \mu_{j}, \Sigma_{j}\right)}

则GMM的EM优化目标函数可以写为:

Q(θ,θt)=ijrj,i(θt)(logP(vi=j)+logP(xivi=j))=ijrj,i(θt)(ωj+N(xiμj,Σj))Q(\theta, \theta^t) = \sum_{i} \sum_{j} r_{j, i}(\theta^t) \left(\log P\left(v_{i}=j\right)+\log P\left(x_{i} \mid v_{i}=j\right)\right) \\ = \sum_{i} \sum_{j} r_{j, i}(\theta^t)( \omega_j + \mathcal{N}(x_i|\mu_j, \Sigma_j))

这个式子不复杂,可以直接计算出各个参数的梯度:

ωj1Nirj,iμj1irj,iirj,ixiσj1irj,iirj,i(xiμj)(xiμj)T\begin{array}{c} \omega_j \leftarrow \frac{1}{N}\sum_i r_{j,i} \\ \mu_{j} \leftarrow \frac{1}{\sum_{i} r_{j, i}} \sum_{i} r_{j, i} x_{i} \\ \sigma_{j} \leftarrow \frac{1}{\sum_{i} r_{j, i}} \sum_{i} r_{j, i}\left(x_{i}-\mu_{j}\right)\left(x_{i}-\mu_{j}\right)^T \end{array}

用Python来写算法

如果目前仍然对EM目标函数的公式头疼,那么我们用伪代码来描述下Q(θ,θt)Q(\theta, \theta^t)是咋算的:

Q = .0
for ind in range(N_samples):
    for w in range(N_latent_gmm):
        p_w = class_prob[w]  ## 每个高斯类别概率
        mu_w, sigma_w = mus[w], sigmas[w]  ## 对应类别高斯参数
        p_x_w = Gassian(X[ind], mu_w, sigma_w) ## 计算似然 p(x| w)
        ## 计算后验 p(w|x) 也就是公式中分母积分部分
        px = .0
        for ww in range(N_latent_gmm):
            p_w = class_prob[w]
            mu_w, sigma_w = mus[w], sigmas[w]
        p_x_w = Gassian(X[ind], mu_w, sigma_w)
        px += p_w * p_x_w
    p_w_x = (p_w * p_x_w) / px
    Q += p_w_x * (p_w + p_x_w)  ## EM目标函数 Q += 后验*(隐变量先验 + 对应似然)

不过我们并不需要写代码计算目标函数,我们只需要算参数的梯度,我们可以设计一个GMM类,来进行参数梯度最优求解。下面我们使用python实现一个手动梯度下降,适配任意类个数、数据维度的GMM类。这一步就是考察我们的代码基本功了,如何将线性代数中的各种运算转化为以numpy矩阵算法包为代表的的代码。

同手写其他机器学习算法一样,一般是初始化参数、计算梯度、更新参数几个步骤。

初始化参数

我们采取一定的策略来初始化GMM模型的三个参数:各高斯类别概率、各高斯分布期望、各高斯分布方差。

from sklearn.cluster import KMeans

class GMM:
    def __init__(self, n_class=None) -> None:
        """
        Args:
            data: [n_smaples, n_dim] raw data 
            n_class: if you know the latent gassian class num
        """
        self.n_epochs = 100
        self.n_class = n_class if n_class is not None else self.n_explore_class

    def init_params(self, data):
        self.data = data
        self.n_dim = data.shape[1]
        self.n_sample = data.shape[0]
				
        ## 1.采用了Kmeans初始化
        km = KMeans(self.n_class)
        km.fit(self.data)
        self.mus = []
        for ind in range(self.n_class):
            self.mus.append(np.mean(self.data[km.labels_ == ind], axis=0))
        self.vars = []
        for ind in range(self.n_class):
            self.vars.append(np.cov(self.data[km.labels_ == ind], rowvar=False))
        self.class_prob = np.random.rand(self.n_class)
        self.class_prob = self.class_prob / np.sum(self.class_prob)
        print(f'Init params: mus: {self.mus}\n vars: {self.vars}\n class_prob: {self.class_prob}')

上面我们仿照sklearn的GMM实现用Kmeans初始聚类来初始化参数。

计算梯度

从建模部分我们知道,GMM各参数的梯度首先要经过E步骤,即用上一步的参数计算出后验概率。再基于这个后验经M步算出梯度:

from scipy import stats

class GMM:
    def e_step(self):
        """
        Calculate posterior prob given last time params.
        p_(z|x, \theta) = p(z=i | x_i) \ sum of tital probs

        Return:
            posteriors: [n_sample, n_class] reprent the probs of each item
                        belongs to each gaussian class.
        """
        models = [ stats.multivariate_normal(self.mus[ind], self.vars[ind]) 
                        for ind in range(self.n_class)]
        total_probs = []
        for ind in range(self.n_sample):
            probs = []
            x_i = self.data[ind, :]
            ## Integral part in posteriors(后验概率分母中的积分部分):
            for g_cls in range(self.n_class):
                probs.append(self.class_prob[g_cls] * models[g_cls].pdf(x_i))
            probs = np.array(probs)
            probs /= probs.sum()
            total_probs.append(probs)
        return np.array(total_probs)

    def m_step(self, posterior):
        """Maximization step in EM algorithm, use last time posterior p(z|x)
        to calculate params gratitude.

        Args:
            posterior: [n_sample, n_class] p(z=i | x_i, \theta_t)

        Return:
            Each class param's gratitude in current time step
            grad_class_prob: scatter of class j
            grad_mus:        [,dim] jth class mus
            grad_sigma:      [, dim, dim] jth class sigma
        """
        for cls in range(self.n_class):
            ## class_prob gratitudes
            grad_class_prob = posterior[:, cls].sum() / self.n_sample

            ## mu_j <- (\sum_i p(z_j|x_i) * x_i) / sum_i p(z_j |x_i)
            grad_mus = np.zeros(self.n_dim)
            for ind in range(self.n_sample):
                grad_mus += posterior[ind, cls] * self.data[ind, :]
            grad_mus /= posterior[:, cls].sum()

            ## sigma_j <-  (\sum_i p(z_j|x_i) * (x_i - \mu_j)^2) / sum_i p(z_j |x_i)
            grad_sigma = np.zeros((self.n_dim, self.n_dim))
            for ind in range(self.n_sample):
                grad_sigma += posterior[ind, cls] * \
                        np.dot((self.data[ind, :] - self.mus[cls]), 
                                self.data[ind, :] - self.mus[cls].T)
            grad_sigma /= posterior[:, cls].sum()
            yield grad_class_prob, grad_mus, grad_sigma

这部分代码难点在于如何把数学公式转为代码,最直接明了的办法是将公式中的矩阵运算统一转换为 for 循环。iNjclass\sum_i^N \sum_j^{class} 就是两层循环。当然也可以直接用矩阵乘法,注意维度即可。而当连加的维度增长至三维以上,矩阵乘法的代码难度上升,此时用for 循环配合SIMD优化是工业界常用的解决方案。

参数更新

class GMM:
     def fit(self, data):
        """process of gratitude dereasing of params in GMM
        """
        self.init_params(data)
        for e in range(self.n_epochs):
            ## e-step: 计算后验
            posterior = self.e_step()
            ## m-step: 计算梯度,并更新参数
            for cls, (grad_class, grad_mu, grad_sigma) in \
                zip(range(self.n_class), self.m_step(posterior)):
                self.class_prob[cls] += 1e-3 *grad_class
                self.mus[cls] += 1e-3 * grad_mu
                self.vars[cls] += 1e-3 * grad_sigma
            self.class_prob /= self.class_prob.sum()
            print (e)

    def pred(self, data):
        self.data = data
        self.n_sample = data.shape[0]
        assert self.n_dim == data.shape[1], "Wrong dim size !"
        res = self.e_step()
        return res.argmax(axis=1)

与sklearn比较下~

下面我们生成一个多维度算例,用sklearn的GMM包和我们手写的比对下:


if __name__ == '__main__':
    n_class = 4
    n_dim = 4
    n_objects = 200

    ## generate gassian dist params:
    class_distance = 20
    class_diff = 2
    mus = [np.random.random(n_dim) * class_distance * i for i in range(1, n_class+1)]
    vars = [np.eye(n_dim) * class_diff * i for i in range(1, n_class+1)]

    ## use dirichlet dist to generate each gaussian class probability
    a = np.ones(n_class)
    n = 1
    p = len(a)
    rd = np.random.gamma(np.repeat(a, n), n, p)
    rd = np.divide(rd, np.repeat(np.sum(rd), p))
    theta = rd
    print (f'{n_class} classes prob: {theta}')

    ## use multinomial to generate each class's sample numbers
    r = np.random.multinomial(n_objects, theta)
    print(f'The number of objects in each classes from 1 to {n_class}: {r}')

    ## generate data:
    data = [np.random.multivariate_normal(mus[i], vars[i], r[i]) for i in range(0, n_class)]
    test_data = [np.random.multivariate_normal(mus[i], vars[i], 20) for i in range(0, n_class)]
    data=np.concatenate(data, axis=0).reshape(-1, n_dim)
    test_data = np.concatenate(test_data, axis=0).reshape(-1, n_dim)

    gmm = GMM(n_class=4)
    gmm.fit(data)
    pred = gmm.pred(test_data)
    print (pred, pred.shape)

    sk_gmm = GaussianMixture(n_components=4)
    sk_gmm.fit(data)
    pred = sk_gmm.predict(test_data)
    print (pred, pred.shape)

结果:

[2 2 2 2 2 2 2 2 2 2 2 2 2 2 2 2 2 2 2 2 0 0 0 0 0 0 0 0 0 0 0 0 0 0 0 0 0
 0 0 0 3 3 3 3 3 3 3 3 3 3 3 3 3 3 3 3 3 3 3 3 1 1 1 1 1 1 1 1 1 1 1 1 1 1
 1 1 1 1 1 1] (80,)
[2 2 2 2 2 2 2 2 2 2 2 2 2 2 2 2 2 2 2 2 0 0 0 0 0 0 0 0 0 0 0 0 0 0 0 0 0
 0 0 0 3 3 3 3 3 3 3 3 3 3 3 3 3 3 3 3 3 3 3 3 1 1 1 1 1 1 1 1 1 1 1 1 1 1
 1 1 1 1 1 1] (80,)

不能说很相似,只能说一模一样。

完整代码在此

总结

  • 高斯混合模型建模过程为多个高斯分布线性相加;不同的高斯分布组成视为模型中的隐变量。
  • 高斯混合模型是生成模型:狄利克雷分布生成各类别的个数和概率;多项式分布生成各类别的样本数;多维高斯分布生成观测数据。
  • 高斯分布的似然函数中含有对隐变量后验概率的连加,无法求出梯度的解析解。
  • EM算法适合用于求解含有隐变量的生成模型,适合GMM的参数求解。对EM算法的核心公式求导Q(θ,θt)=i=1Nwilogp(xi,wiθ)p(wixi,θt)Q\left(\theta, \theta^{t}\right)=\sum_{i=1}^{N} \sum_{w_{i}} \log p\left(x_{i}, w_{i} \mid \theta\right) p\left(w_{i} \mid x_{i}, \theta^{t}\right) ,可以很直观地计算出各参数的梯度。
  • 我们用python手写了一个适配各种类别数目、多维度高斯分布的GMM算法,与sklearn实现的结果一致。

Reference

[1] github.com/GaborLengye…

[2] 《统计机器学习》-EM算法及高斯混合模型,李航著

[3] slearn-GMM