[二叉数]相同的树

124 阅读3分钟

一起养成写作习惯!这是我参与「掘金日新计划 · 4 月更文挑战」的第15天,点击查看活动详情

一、题目描述

原文链接:100. 相同的树
具体描述: 给你两棵二叉树的根节点 p 和 q ,编写一个函数来检验这两棵树是否相同。 如果两个树在结构上相同,并且节点具有相同的值,则认为它们是相同的。

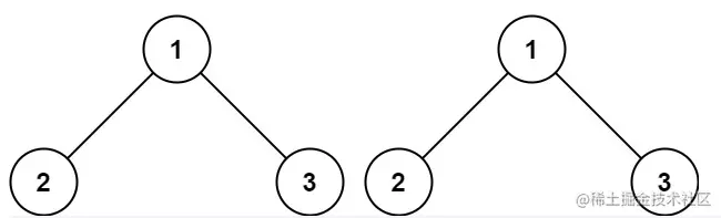
示例 1:

示例1.png

输入:p = [1,2,3], q = [1,2,3]

输出:true

示例 2:

示例2.png

输入:p = [1,2], q = [1,null,2]

输出:false

示例 3:

示例3.png

输入:p = [1,2,1], q = [1,1,2]

输出:false

提示:

  • 两棵树上的节点数目都在范围 [0, 100] 内
  • -10^4 <= Node.val <= 10^4

二、思路分析

如果跟着我昨天做了对称二叉数的话,这道题简直soeasy!分分中手到擒来! 这道题就是比较二叉数是否相同,两种方法,一种递归,一种迭代,其实有递归就必有迭代! 递归解法三部曲:

  • 确定参数和返回,参数就是左右数,返回值就是boolean
  • 确定终止条件(左右值不相等返回false,左右子树都为空返回true,左右子树一个为空一个不为空返回false,左右值相同则继续比较)
  • 确定单层逻辑(比较左右子树的左边,比较左右子树的右边)

三、AC代码

递归解法:

/**
 * Definition for a binary tree node.
 * public class TreeNode {
 *     int val;
 *     TreeNode left;
 *     TreeNode right;
 *     TreeNode() {}
 *     TreeNode(int val) { this.val = val; }
 *     TreeNode(int val, TreeNode left, TreeNode right) {
 *         this.val = val;
 *         this.left = left;
 *         this.right = right;
 *     }
 * }
 */
class Solution {
    public boolean isSameTree(TreeNode p, TreeNode q) {
        return compare(p, q);
    }
    public boolean compare(TreeNode p, TreeNode q){
        if (p == null && q != null) return false;
        else if (p != null && q == null) return false;
        else if (p == null && q == null) return true;
        else if (p.val != q.val) return false;

        boolean leftCompare = compare(p.left, q.left);
        boolean rightCompare = compare(p.right, q.right);
        return leftCompare && rightCompare;
    }
}

迭代解法:

/**
 * Definition for a binary tree node.
 * public class TreeNode {
 *     int val;
 *     TreeNode left;
 *     TreeNode right;
 *     TreeNode() {}
 *     TreeNode(int val) { this.val = val; }
 *     TreeNode(int val, TreeNode left, TreeNode right) {
 *         this.val = val;
 *         this.left = left;
 *         this.right = right;
 *     }
 * }
 */
class Solution {
    public boolean isSameTree(TreeNode p, TreeNode q) {
        Deque<TreeNode> deque = new LinkedList<>();
        deque.offerFirst(p);
        deque.offerFirst(q);
        while (deque.isEmpty() == false){
            TreeNode left = deque.pollFirst();
            TreeNode right = deque.pollFirst();
            
            if (left == null && right == null) continue;
            if (left == null || right == null || left.val != right.val) return false;

            deque.offerFirst(left.left);
            deque.offerFirst(right.left);
            deque.offerFirst(left.right);
            deque.offerFirst(right.right);
        }
        return true;

    }
}

四、总结

  • 递归三部曲:确定参数和返回值;确定终止条件;确定单层的逻辑

五、巩固练习

递归解法:

/**
 * Definition for a binary tree node.
 * public class TreeNode {
 *     int val;
 *     TreeNode left;
 *     TreeNode right;
 *     TreeNode() {}
 *     TreeNode(int val) { this.val = val; }
 *     TreeNode(int val, TreeNode left, TreeNode right) {
 *         this.val = val;
 *         this.left = left;
 *         this.right = right;
 *     }
 * }
 */
class Solution {
    public boolean isSubtree(TreeNode root, TreeNode subRoot) {
        if (root == null && subRoot == null) return true;
        else if (root != null && subRoot == null) return false;
        else if (root == null && subRoot != null) return false;
        Queue<TreeNode> queue = new LinkedList<>();
        queue.offer(root);
        while (queue.isEmpty() == false){
            int levelLen = queue.size();
            while(levelLen > 0){
                TreeNode tmpNode = queue.poll();
                boolean flag = compare(tmpNode, subRoot);
                if (flag == true) return true;
                if (tmpNode.left != null) queue.offer(tmpNode.left);
                if (tmpNode.right != null) queue.offer(tmpNode.right);
                levelLen--;
            }
        }
        return false;
    }
    public boolean compare(TreeNode left, TreeNode right){
        if (left == null && right == null) return true;
        else if (left != null && right == null) return false;
        else if (left == null && right != null) return false;
        else if (left.val != right.val) return false;

        boolean leftCompare = compare(left.left, right.left);
        boolean rightCompare = compare(left.right, right.right);
        return leftCompare && rightCompare;
    }
}

迭代解法

/**
 * Definition for a binary tree node.
 * public class TreeNode {
 *     int val;
 *     TreeNode left;
 *     TreeNode right;
 *     TreeNode() {}
 *     TreeNode(int val) { this.val = val; }
 *     TreeNode(int val, TreeNode left, TreeNode right) {
 *         this.val = val;
 *         this.left = left;
 *         this.right = right;
 *     }
 * }
 */
class Solution {
    public boolean isSubtree(TreeNode root, TreeNode subRoot) {
        if (root == null && subRoot == null) return true;
        else if (root != null && subRoot == null) return false;
        else if (root == null && subRoot != null) return false;
        Queue<TreeNode> queue = new LinkedList<>();
        queue.offer(root);
        while (queue.isEmpty() == false){
            int levelLen = queue.size();
            while(levelLen > 0){
                TreeNode tmpNode = queue.poll();
                boolean flag = compare(tmpNode, subRoot);
                if (flag == true) return true;
                if (tmpNode.left != null) queue.offer(tmpNode.left);
                if (tmpNode.right != null) queue.offer(tmpNode.right);
                levelLen--;
            }
        }
        return false;
    }
    public boolean compare(TreeNode left, TreeNode right){
        Deque<TreeNode> deque = new LinkedList<>();
        deque.offerFirst(left);
        deque.offerFirst(right);
        while (deque.isEmpty() == false){
            TreeNode subLeftTree = deque.pollFirst();
            TreeNode subRightTree = deque.pollFirst();
            if (subLeftTree == null && subRightTree == null) continue;
            if (subLeftTree == null || subRightTree == null || subLeftTree.val != subRightTree.val) return false;
            deque.offerFirst(subLeftTree.left);
            deque.offerFirst(subRightTree.left);
            deque.offerFirst(subLeftTree.right);
            deque.offerFirst(subRightTree.right);
        }
        return true;
    }
}

感谢大家的阅读,我是Alson_Code,一个喜欢把简单问题复杂化,把复杂问题简单化的程序猿! ❤