[二叉数]对称二叉树

192 阅读2分钟

一起养成写作习惯!这是我参与「掘金日新计划 · 4 月更文挑战」的第14天,点击查看活动详情

一、题目描述

原文链接:101. 对称二叉树
具体描述: 给你一个二叉树的根节点 root , 检查它是否轴对称。

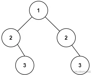
示例 1:

示例1.png

输入:root = [1,2,2,3,4,4,3] 输出:true

示例 2:

示例2.png

输入:root = [1,2,2,null,3,null,3] 输出:false

提示:

  • 树中节点数目在范围 [1, 1000] 内

  • -100 <= Node.val <= 100

进阶:你可以运用递归和迭代两种方法解决这个问题吗?

迭代两种方法解决这个问题吗?


二、思路分析

两种解法,其实大差不差,我们先来说说递归! 写递归需要三部曲:

  • 第一:确定递归参数及返回值
  • 第二:确定终止条件
  • 第三:单层逻辑

第一:递归的返回值可以确定为boolean,参数的话其实比较的是左右子树!(注意哦不是左右孩子!) 第二:终止条件就是如果左右两个子树一个为空,一个不为空则返回false,两个都是空则返回true,或者两个val值不相同则返回false,如果相同则继续比较!

if (left == null && right != null) return false;
else if (left != null && right == null) return false;
else if (left == null && right == null) return true;
else if (left.val != right.val) return false;

第三:递归比较左子树的左孩子和右子树的右孩子(相当于比较外侧),如果前面两个相等,在递归比较左子树的右孩子和右子树的左孩子(相当于比较内侧),如果都想等则返回true!


第二种方法就是迭代法!利用栈和队列都可以,我们拿队列举例!

  • 首先把左右子树放到队列中,弹出左右子树比较值,如果相等则把左右子树按照比较顺序添加到队列中!如果不相等则返回false!
  • 循环至队列为空则结束循环!

三、AC代码

递归解法:

/**
 * Definition for a binary tree node.
 * public class TreeNode {
 *     int val;
 *     TreeNode left;
 *     TreeNode right;
 *     TreeNode() {}
 *     TreeNode(int val) { this.val = val; }
 *     TreeNode(int val, TreeNode left, TreeNode right) {
 *         this.val = val;
 *         this.left = left;
 *         this.right = right;
 *     }
 * }
 */
class Solution {
    public boolean isSymmetric(TreeNode root) {
        return compare(root.left, root.right);
    }

    public boolean compare(TreeNode left, TreeNode right){
        // 终止条件
        if (left == null && right != null) return false;
        else if (left != null && right == null) return false;
        else if (left == null && right == null) return true;
        else if (left.val != right.val) return false;

        // 单层循环体(如果左右子树相等,需要继续递归比较)
        boolean outSideCompare = compare(left.left, right.right);
        boolean insideCompare = compare(left.right, right.left);
        return outSideCompare && insideCompare;
    }
}

迭代解法:

/**
 * Definition for a binary tree node.
 * public class TreeNode {
 *     int val;
 *     TreeNode left;
 *     TreeNode right;
 *     TreeNode() {}
 *     TreeNode(int val) { this.val = val; }
 *     TreeNode(int val, TreeNode left, TreeNode right) {
 *         this.val = val;
 *         this.left = left;
 *         this.right = right;
 *     }
 * }
 */
class Solution {
    public boolean isSymmetric(TreeNode root) {
        Deque<TreeNode> deque = new LinkedList<>();
        deque.offerFirst(root.left);
        deque.offerFirst(root.right);
        while (deque.isEmpty() == false){
            TreeNode left = deque.pollFirst();
            TreeNode right = deque.pollFirst();

            if (left == null && right == null) continue;

            if (left == null || right == null || left.val != right.val) return false;

            deque.offerFirst(left.left);
            deque.offerFirst(right.right);
            deque.offerFirst(left.right);
            deque.offerFirst(right.left);
        }
        return true;
    }
}

四、总结

  • 递归三步曲

感谢大家的阅读,我是Alson_Code,一个喜欢把简单问题复杂化,把复杂问题简单化的程序猿! ❤