[二叉数]二叉树的层序遍历 II

144 阅读2分钟

一起养成写作习惯!这是我参与「掘金日新计划 · 4 月更文挑战」的第8天,点击查看活动详情

一、题目描述

原文链接:二叉树的层序遍历 II
具体描述: 给你二叉树的根节点 root ,返回其节点值 自底向上的层序遍历 。 (即按从叶子节点所在层到根节点所在的层,逐层从左向右遍历)

在这里插入图片描述

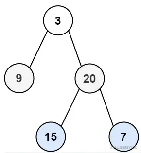
示例 1:

输入:root = [3,9,20,null,null,15,7] 输出:[[15,7],[9,20],[3]]

示例 2:

输入:root = [1] 输出:[[1]]

示例 3:

输入:root = [] 输出:[]

提示:

  • 树中节点数目在范围 [0, 2000] 内
  • -1000 <= Node.val <= 1000

二、思路分析

其实就是二叉数的层次遍历,只不过就是把从下到上,对于我们而言就是把结果反转一下就可以啦! 顺便我们复习二叉数的层次遍历思路:

  • 定义一个队列来进行存储二叉数,首次把root添加到树当中
  • 每次根据根据队列的当前长度来遍历队列,存储结果,顺待把当前节点的左右孩子添加到队列当中
  • 循环第二步,知道队列为空!

三、AC代码

/**
 * Definition for a binary tree node.
 * public class TreeNode {
 *     int val;
 *     TreeNode left;
 *     TreeNode right;
 *     TreeNode() {}
 *     TreeNode(int val) { this.val = val; }
 *     TreeNode(int val, TreeNode left, TreeNode right) {
 *         this.val = val;
 *         this.left = left;
 *         this.right = right;
 *     }
 * }
 */
class Solution {
    public List<List<Integer>> levelOrderBottom(TreeNode root) {
        List<List<Integer>> result = new ArrayList<>();
        Queue<TreeNode> queue = new LinkedList<>();
        if (root != null) queue.offer(root);

        while (queue.isEmpty() == false){
            List<Integer> item = new ArrayList<>();
            int len = queue.size();
            while (len > 0){
                TreeNode tmpNode = queue.poll();
                item.add(tmpNode.val);

                if (tmpNode.left != null) queue.offer(tmpNode.left);
                if (tmpNode.right != null) queue.offer(tmpNode.right);

                len--;
            }
            result.add(item);
        }

         List<List<Integer>> resultFinal = new ArrayList<>();
         for (int i = result.size() - 1; i >= 0; i--){
            resultFinal.add(result.get(i));
         }

        return resultFinal;
    }
}

四、总结

  • 复习一下层次遍历
  • **Collections.reverse(list); **反转基本数据类型,引用数据类型,不能反转**List**

五、巩固提升

199. 二叉树的右视图(只需要每一层的最后一个节点)

/**
 * Definition for a binary tree node.
 * public class TreeNode {
 *     int val;
 *     TreeNode left;
 *     TreeNode right;
 *     TreeNode() {}
 *     TreeNode(int val) { this.val = val; }
 *     TreeNode(int val, TreeNode left, TreeNode right) {
 *         this.val = val;
 *         this.left = left;
 *         this.right = right;
 *     }
 * }
 */
class Solution {
    public List<Integer> rightSideView(TreeNode root) {
        List<Integer> result = new ArrayList<>();
        Queue<TreeNode> queue = new LinkedList<>();
        if (root != null) queue.offer(root);

        while (queue.isEmpty() == false){
            int len = queue.size();
            while (len > 0){
                TreeNode tmpNode = queue.poll();
                if (tmpNode.left != null) queue.offer(tmpNode.left);
                if (tmpNode.right != null) queue.offer(tmpNode.right);
                len--;
                if (len == 0){
                    result.add(tmpNode.val);
                }
            }
        }
        return result;
    }
}

感谢大家的阅读,我是Alson_Code,一个喜欢把简单问题复杂化,把复杂问题简单化的程序猿! ❤