[二叉数]二叉树的层序遍历

145 阅读2分钟

一起养成写作习惯!这是我参与「掘金日新计划 · 4 月更文挑战」的第7天,点击查看活动详情

一、题目描述

原文链接:102. 二叉树的层序遍历
具体描述: 给你二叉树的根节点 root ,返回其节点值的 层序遍历 。 (即逐层地,从左到右访问所有节点)。

在这里插入图片描述

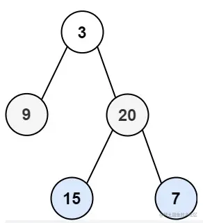
示例 1:

输入:root = [3,9,20,null,null,15,7] 输出:[[3],[9,20],[15,7]]

示例 2:

输入:root = [1] 输出:[[1]]

示例 3:

输入:root = [] 输出:[]

提示:

  • 树中节点数目在范围 [0, 2000] 内
  • -1000 <= Node.val <= 1000

二、思路分析

层次遍历也就是一层一层的从上往下的遍历,有点先进先出的感觉,可以考虑用队列来解决! 那怎么用队列来解决吗?(按照上面的示例举例,,并且假设9也有10,11两个左右子树,相当于是一个满二叉树)

  • 首先我们把整个树添加到队列中,开始遍历队列
  • 此时队列的长度为1,弹出队头,并且把队头的值放到结果中,再把队头也就是跟节点的左右孩子添加到队列中,此时完成了第一层的遍历
  • 现在队列的长度为2,让len=queue.size(),然后开始再次开始遍历队列,弹出队头(第一个左子树9),把值放到结果中,然后把对头的左右孩子放进去,队列的长度为3,并且完成的第二层的第一个元素的遍历,再次弹出队头(第一个右子树20),把值放到结果中,然后把左右孩子的放到队列中,此时队列的长度为4,并且每次len--,此时len为0,同时第二层也遍历完了,同时队列的长度相当于第三层的长度
  • 重复上面的操作,再次遍历队列,然后存值,然后再把左右子树结果放到队列中,这就完成了层次遍历!

简单的说就是每次把每一层的左右孩子放到队列中,并记录长度遍历结果!

三、AC代码

/**
 * Definition for a binary tree node.
 * public class TreeNode {
 *     int val;
 *     TreeNode left;
 *     TreeNode right;
 *     TreeNode() {}
 *     TreeNode(int val) { this.val = val; }
 *     TreeNode(int val, TreeNode left, TreeNode right) {
 *         this.val = val;
 *         this.left = left;
 *         this.right = right;
 *     }
 * }
 */
class Solution {
    public List<List<Integer>> levelOrder(TreeNode root) {
        List<List<Integer>> result = new ArrayList<>();
        Queue<TreeNode> queue = new LinkedList<>();
        if (root != null) queue.offer(root);
        while (queue.isEmpty() == false){
            List<Integer> list = new ArrayList<>();
            int len = queue.size();
            while (len > 0){
                TreeNode tmpNode = queue.poll();
                list.add(tmpNode.val);

                if (tmpNode.left != null) queue.offer(tmpNode.left);
                if (tmpNode.right != null) queue.offer(tmpNode.right);

                len--;
            }
            result.add(list);
        }

        return result;
    }
}

四、总结

  • 队列可以实现二叉树的层次遍历
  • 栈和队列的实现类总结
栈:Stack stack = new Stack();

队列:Queue queue = new LinkedList();

双向队列,栈:
方式一:Deque deque = new ArrayDeque();
方式二:Deque deque = new LinkeLIst();


感谢大家的阅读,我是Alson_Code,一个喜欢把简单问题复杂化,把复杂问题简单化的程序猿! ❤