力扣第142题-环形链表 II

147 阅读3分钟

一起养成写作习惯!这是我参与「掘金日新计划 · 4 月更文挑战」的第9天,点击查看活动详情

前言

力扣第142题 环形链表 II 如下所示:

给定一个链表的头节点  head ,返回链表开始入环的第一个节点。 如果链表无环,则返回 null

如果链表中有某个节点,可以通过连续跟踪 next 指针再次到达,则链表中存在环。 为了表示给定链表中的环,评测系统内部使用整数 pos 来表示链表尾连接到链表中的位置(索引从 0 开始)。如果 pos 是 -1,则在该链表中没有环。注意:pos 不作为参数进行传递,仅仅是为了标识链表的实际情况。

不允许修改 链表。

示例 1:

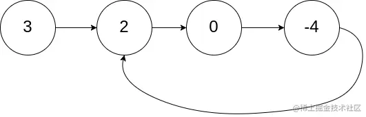
输入: head = [3,2,0,-4], pos = 1
输出: 返回索引为 1 的链表节点

一、思路

这一题与前面一题# 力扣第141题-环形链表有一点不同:除了要判断链表是否有环外,还需要找到环开始的节点

一个最简单的思路仍是使用 哈希集合,我们在集合中存储所有遍历过的节点,当发现下一个节点在哈希集合中存在时。则表示链表中出现环了,且下一个节点就是环的开始处。哈希集合的思路在此就不多做分析了,主要说一下 快慢指针

快慢指针

我们先形象化一下链表,大致如下所示(图片从力扣拿的):

image.png

a:环外的距离 b:环中快慢指针相遇的地方 c:环中相遇剩下的距离 b+c:一个环的距离

我们假设快指针 fast 和慢指针 slow 都从链表头出发。如果链表中有环的话,快慢指针一定会在环中的某个节点相遇,如图中的链表中 a + b处就是相遇的地方。

此时快指针fast 相当于绕了 n 个圈,走的距离为:a + n(b+c) + b
慢指针 slow 此时才刚进环,走的距离为 a + b 因为快指针 fast 每次走的距离为 2,慢指针 slow 走的距离为 1,故有如下的等式: a + n(b+c) + b = 2(a+b)

化验一下可以得到如下的式子:a = c + (n-1)(b+c)。也就是说快慢指针相遇时,环中剩下的距离 c 和环外的距离 a 是相等的。故在相遇后慢指针和头指针继续向下走,再次相遇的地方就是环开始的地方。

image.png

二、实现

实现代码

实现的代码如下所示:

public ListNode detectCycle(ListNode head) {
    if (head == null) {
        return null;
    }
    ListNode slow = head;
    ListNode fast = head;
    while (fast != null) {
        slow = slow.next;
        if (fast.next != null) {
            fast = fast.next.next;
        } else {
            return null;
        }
        if (fast == slow) { // 相遇了
            ListNode newHead = head;
            while (newHead != slow) {
                newHead = newHead.next;
                slow = slow.next;
            }
            return newHead;
        }
    }
    return null;
}

测试代码

public static void main(String[] args) {
    ListNode l1 = new ListNode(3);
    ListNode l2 = new ListNode(2);
    ListNode l3 = new ListNode(0);
    ListNode l4 = new ListNode(4);
    l1.next = l2;
    l2.next = l3;
    l3.next = l4;
    l4.next = l2;
    new Number142().detectCycle(l1);
}

结果

image.png

三、总结

感谢看到最后,非常荣幸能够帮助到你~♥

如果你觉得我写的还不错的话,不妨给我点个赞吧!如有疑问,也可评论区见~