【前端面试常见算法题系列】103. 二叉树的锯齿形层序遍历(中等)

126 阅读1分钟

“Offer 驾到,掘友接招!我正在参与2022春招打卡活动,点击查看活动详情。”

一、题目描述

给你二叉树的根节点 root ,返回其节点值的 锯齿形层序遍历 。(即先从左往右,再从右往左进行下一层遍历,以此类推,层与层之间交替进行)。

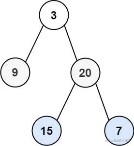
示例 1: image.png

输入:root = [3,9,20,null,null,15,7]
输出:[[3],[20,9],[15,7]]

示例 2:

输入:root = [1]
输出:[[1]]

示例 3:

输入:root = []
输出:[]

提示:

  • 树中节点数目在范围 [0, 2000]
  • -100 <= Node.val <= 100

二、思路分析

这道题和 【前端面试常见算法题系列】102. 二叉树的层序遍历(中等) 的解题思路基本相同,不同的是遍历的顺序,我们只需要定义一个布尔变量,用来标识左右遍历的顺序:为 true 时,从左到右遍历;为 false 时,从右到左遍历。

这里为了方便,使用 deque 双端队列的数据结构,若需要从左到右遍历,就用 push_back 方法将节点值存进队列的尾部;若需要从右到左遍历,就用 push_front 方法将节点值存进队列的头部。这样就达到了我们想要的效果。

三、AC 代码

/**
 * Definition for a binary tree node.
 * struct TreeNode {
 *     int val;
 *     TreeNode *left;
 *     TreeNode *right;
 *     TreeNode() : val(0), left(nullptr), right(nullptr) {}
 *     TreeNode(int x) : val(x), left(nullptr), right(nullptr) {}
 *     TreeNode(int x, TreeNode *left, TreeNode *right) : val(x), left(left), right(right) {}
 * };
 */
class Solution {
public:
    vector<vector<int>> zigzagLevelOrder(TreeNode* root) {
        vector <vector <int>> res;
        if (!root) return res;

        queue<TreeNode*> que;
        que.push(root);
        bool flag = true;
        while (!que.empty()) {
            int size = que.size();
            deque<int> arr;
            for (int i = 0; i < size; i++) {
                TreeNode* cur = que.front();
                que.pop();
                if (flag) {
                    arr.push_back(cur -> val);
                } else {
                    arr.push_front(cur -> val);
                }
                if (cur -> left) {
                    que.push(cur -> left);
                }
                if (cur -> right) {
                    que.push(cur -> right);
                }
            }
            flag = !flag;
            res.emplace_back(vector<int>{arr.begin(), arr.end()});
        }
        return res;
    }
};

四、总结