【前端面试常见算法题系列】102. 二叉树的层序遍历(中等)

554 阅读1分钟

“Offer 驾到,掘友接招!我正在参与2022春招打卡活动,点击查看活动详情。”

一、题目描述

给你二叉树的根节点 root ,返回其节点值的 层序遍历 。 (即逐层地,从左到右访问所有节点)。

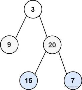
示例 1: image.png

输入:root = [3,9,20,null,null,15,7]
输出:[[3],[9,20],[15,7]]

示例 2:

输入:root = [1]
输出:[[1]]

示例 3:

输入:root = []
输出:[]

提示:

  • 树中节点数目在范围 [0, 2000]
  • -1000 <= Node.val <= 1000

二、思路分析

二叉树的层序遍历,说白了就是按照从上到下、从左到右的顺序 一层一层地输出节点值。

思路如下:

  • 定义 res 数组,用来存放每一层的节点值;定义 que 队列,用来存放根节点或父节点。
  • 一开始先将 root 存进 que 中。进入条件为 !que.empty()while 循环,在这个循环里,我们要做的便是将 que 队列中的所有节点拿出来放进一个数组中,再将这个数组 pushres 中。
  • 要获取 que 队列的所有节点,我们还需进行一次遍历,每获取一个节点,就将其取出并存进数组中,同时要将取出的节点的子节点都 pushque 队列中,这样就确保了 que 中的节点都是同一层的。

注意:在遍历 que 时,que.size() 要事先存起来,不能在 for 循环里表示,如果写成 for(int i=0; i<que.size(); i++) 的话,每次执行循环时 que 都可能有子节点 push 进来,导致 que.size() 发生改变,但如果事先 int size=que.size() 的话,无论 que 长度怎样改变,都不会受其影响。

三、AC 代码

/**
 * Definition for a binary tree node.
 * struct TreeNode {
 *     int val;
 *     TreeNode *left;
 *     TreeNode *right;
 *     TreeNode() : val(0), left(nullptr), right(nullptr) {}
 *     TreeNode(int x) : val(x), left(nullptr), right(nullptr) {}
 *     TreeNode(int x, TreeNode *left, TreeNode *right) : val(x), left(left), right(right) {}
 * };
 */
class Solution {
public:
    vector<vector<int>> levelOrder(TreeNode* root) {
        vector <vector <int>> res;
        if (!root) return res;

        queue <TreeNode*> que;
        que.push(root);
        while (!que.empty()) {
            vector<int> arr;
            int size = que.size();
            for (int i = 0; i < size; i++) {
                TreeNode* cur = que.front();
                que.pop();
                arr.push_back(cur -> val);
                if (cur -> left) {
                    que.push(cur -> left);
                }
                if (cur -> right) {
                    que.push(cur -> right);
                }
            }
            res.push_back(arr);
        }
        return res;
    }
};