【LeetCode】141. 环形链表

167 阅读2分钟

Offer 驾到,掘友接招!我正在参与2022春招系列活动-刷题打卡任务,点击查看活动详情

一、题目描述

给你一个链表的头节点 head ,判断链表中是否有环。

如果链表中有某个节点,可以通过连续跟踪 next 指针再次到达,则链表中存在环。 为了表示给定链表中的环,评测系统内部使用整数 pos 来表示链表尾连接到链表中的位置(索引从 0 开始)。注意:pos 不作为参数进行传递 。仅仅是为了标识链表的实际情况。

如果链表中存在环 ,则返回 true 。 否则,返回 false

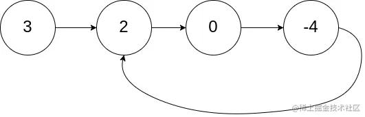
示例 1:

image.png

输入:head = [3,2,0,-4], pos = 1
输出:true
解释:链表中有一个环,其尾部连接到第二个节点。

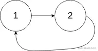
示例 2:

image.png

输入:head = [1,2], pos = 0
输出:true
解释:链表中有一个环,其尾部连接到第一个节点。

示例 3:

image.png

输入:head = [1], pos = -1
输出:false
解释:链表中没有环。

提示:

  • 链表中节点的数目范围是 [0, 10^4]
  • -10^5 <= Node.val <= 10^5
  • pos 为 -1 或者链表中的一个 有效索引 。

二、思路分析

首先从题目信息我们可以知道这题是判断链表有没有环,emmm……[手动狗头]

有环表示有些节点会被重复访问,然后是不是想到了什么?

没错,就是判断节点有没有访问过来确定链表是否存在环形。

这种代码很容易实现,使用集合作为缓存,标记已经访问过的节点。当我们访问一个节点的时候,先判断集合中是否已经存在该节点,如果存在话,则表示已经访问过了,也就是进入链表中的环。

在这里指针需要遍历所有的节点,集合也要存储所有的节点,所以时间复杂度和空间复杂度都是O(N)

代码实现

public class Solution {
    public boolean hasCycle(ListNode head) {
        // set集合存放已经走过的节点
        Set<ListNode> set = new HashSet<ListNode>();
        while (head != null) {
            // 如果节点已经存在,则会返回false
            if (!set.add(head)) {
                return true;
            }
            head = head.next;
        }
        return false;
    }
}

那么是不是还有更加优雅的解法呢?

关于在环上移动的指针,我们可以参考一个很常见的东西——时钟。一个问题就是时钟的秒针和分针在一天内会不会重合在某个点?答案是肯定会的,而且重合次数还不止一次呢。

那么,我们是不是可以把链表中的环当成一个拆分为n个节点的时钟,然后我们使用两个指针分别表示秒针和分针。也就是使用快指针表示秒针,慢指针表示分针。慢指针移动一个节点,快指针移动两个节点。

如果快慢指针能够相遇在某一点,那么就是存在环的。否则的话,快指针最后会指向null

这种方法的也需要遍历所有的节点,所以时间复杂度也是O(N),因为只使用了两个指针,所以空间复杂度变小了,为O(1)

代码实现

public class Solution {
    public boolean hasCycle(ListNode head) {
        if (head == null || head.next == null) {
            return false;
        }
        // 快指针,每次移动两步
        ListNode fast = head;
        // 慢指针,每次移动一步
        ListNode slow = head;
        // 快指针的下一步是否为null,为null表示走到链表尾节点了
        while (fast.next != null && fast.next.next != null) {
            // 指针移动
            fast = fast.next.next;
            slow = slow.next;
            // 快慢指针是否移动到同一位置
            if (fast == slow) {
                return true;
            }
        }
        return false;
    }
}

总结

一般链表相关的问题都可以优先考虑一下是否可以使用两个指针解决问题,有环的地方,一定会回到原点。