基于simulink和adams的机械臂自适应控制

336 阅读3分钟

基于simulink和adams的机械臂自适应控制

github地址

github.com/zzy5510/ada…

模型构建

本想基于原来的七自由度机械臂做自适应控制,但发现自适应控制需要用到线性化的动力学参数矩阵,七自由度机械臂的参数矩阵太庞大和复杂了。所以新做了一个平面三自由度机械臂,如下图:
在这里插入图片描述
机械臂的质量均为10,z轴的惯量为1.05.

算法原理

欧拉拉格朗日法求动力学方程

首先,需要使用拉格朗日法求出机械臂的动力学方程:
H ( q ) q ¨ + C ( q , q ) q + G ( q ) = τ H(q) \ddot{q}+C(q, q) q+G(q)=\tau H(q)q¨​+C(q,q)q+G(q)=τ
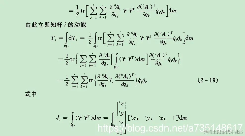
拉格朗日法的具体实现可以有不同的方法。本项目采用了霍伟《机器人动力学与控制》中的方法,比较便于编程实现。具体如下:
在这里插入图片描述
在这里插入图片描述
在这里插入图片描述
在这里插入图片描述
在这里插入图片描述
在这里插入图片描述
需要注意以下几点:
1.该方法不依赖于建系方法,即普通DH和改进DH都可应用。但推荐使用改进DH,因为公式中的连杆i质心的坐标是在i系中表达的,如果采用普通DH,这一坐标随关节角度将变化。
2.惯性张量I以坐标系的原点为原点,并不以杆的质心为原点。
这部分算法的代码来自www.jianshu.com/p/6d04539f1…

自适应控制

本项目假定连杆3由于抓取了未知物体,质量和转动惯量变为未知。因此需要采用自适应算法来实现对机械臂的控制。算法的思路来自《漂浮基单_双臂空间机器人捕获目标过程接触碰撞动力学分析与镇定控制
设定系统位置误差为
e = q d − q e=q_{d}-q e=qd​−q
定义增广误差:
s = e ˙ + λ e s=\dot{e}+\lambda e s=e˙+λe
定义参考输入角速度和角加速度:
η = q ˙ d + λ e \eta =\dot{q}_{d}+\lambda e η=q˙​d​+λe
η ˙ = q ¨ d + λ e ˙ \dot{\eta} =\ddot{q}_{d}+\lambda \dot{e} η˙​=q¨​d​+λe˙
带入动力学表达式,得到:
H s ˙ + C s = H η ¨ + C η ˙ − τ H \dot{s}+Cs=H \ddot{\eta}+ C \dot{\eta}-\tau Hs˙+Cs=Hη¨​+Cη˙​−τ
设计控制输入力矩为:
τ = H ^ η ¨ + C ^ η ˙ + K s \tau=\hat{H} \ddot{\eta}+ \hat{C} \dot{\eta}+Ks τ=H^η¨​+C^η˙​+Ks
其中, H ^ \hat{H} H^和 C ^ \hat{C} C^代表对H和C的估计。将该式带入上式:
H s ˙ + C s + K s = W ϕ H \dot{s}+Cs+Ks=W\phi Hs˙+Cs+Ks=Wϕ
其中,
W ϕ = ( H − H ^ ) η ¨ + ( C − C ^ ) η ˙ W\phi=(H-\hat{H})\ddot{\eta}+(C-\hat{C})\dot{\eta} Wϕ=(H−H^)η¨​+(C−C^)η˙​
ϕ \phi ϕ是待估计的动力学参数的真实值与估计值的差组成的列向量,即为[m3;Iz3]。该公式实际上将动力学参数与运动学参数q, q ˙ \dot{q} q˙​, q ¨ \ddot{q} q¨​的分离,完成了动力学参数的线性化。
最后,用自适应律:
ϕ = − γ W T s \phi=-\gamma W^{\mathrm{T}}s ϕ=−γWTs
来更新动力学参数。关于自适应控制的稳定性证明略。

simulink控制图

在这里插入图片描述
四个函数分别为输入,s和 η \eta η的计算,自适应计算器,控制器。

运行效果

当输入为正弦信号时,机械臂运动跟踪效果如下:
在这里插入图片描述
跟踪效果还是非常好的。然而,对参数的估计并没有收敛到真值:
在这里插入图片描述
这是因为正弦输入信号不满足持续激励(PE)条件。尽管输出可以收敛到真值,但参数估计却无法收敛到真值。这也是自适应控制的一大特点。
当输入恒加速度信号时,跟踪效果也不错。
在这里插入图片描述
然而,对参数的估计依然不收敛。非常迷惑,加速度信号理论上是满足PE条件的。多次调试后依然不收敛。这个问题先放在这里,以后解决吧。
在这里插入图片描述