[路飞][LeetCode]面试题 02.08. 环路检测

860 阅读2分钟

看一百遍美女,美女也不一定是你的。但你刷一百遍算法,知识就是你的了~~

谁能九层台,不用累土起!

题目地址

题目

给定一个链表,如果它是有环链表,实现一个算法返回环路的开头节点。若环不存在,请返回 null

如果链表中有某个节点,可以通过连续跟踪 next 指针再次到达,则链表中存在环。 为了表示给定链表中的环,我们使用整数 pos 来表示链表尾连接到链表中的位置(索引从 0 开始)。 如果 pos 是 -1,则在该链表中没有环。注意:pos 不作为参数进行传递,仅仅是为了标识链表的实际情况。

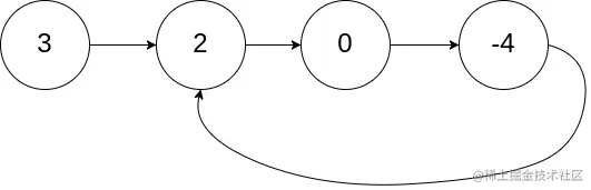
示例 1:

image.png

输入:head = [3,2,0,-4], pos = 1
输出:tail connects to node index 1
解释:链表中有一个环,其尾部连接到第二个节点。

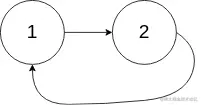
示例 2:

image.png

输入:head = [1,2], pos = 0
输出:tail connects to node index 0
解释:链表中有一个环,其尾部连接到第一个节点。

示例 3:

image.png

输入: head = [1], pos = -1
输出: no cycle
解释: 链表中没有环。

解题思路

本题可与 142_环形链表II 对比观看

  • 我们可以定义两个指针一个快指针一个慢指针 快指针每次走2个节点 慢指针每次走一个节点
  • 当快慢指针相遇时,第三个指针从head出发 每次一个节点
  • 当第三个指针与慢指针相遇时,所在节点为题目要求的节点

解题代码

var detectCycle = function(head) {
    if(!head) return null
    let slow = head
    let fast = head
    while(fast){
        slow = slow.next
        if(!fast.next) return null
        fast = fast.next.next
        if(fast==slow){
            let zz = head
            while(zz!=slow){
                slow = slow.next
                zz = zz.next
            }
            return zz
        }
        
    }
    return null
};

如有任何问题或建议,欢迎留言讨论!