[路飞][LeetCode]142_环形链表II

214 阅读2分钟

看一百遍美女,美女也不一定是你的。但你刷一百遍算法,知识就是你的了~~

谁能九层台,不用累土起。

题目地址

题目

给定一个链表,返回链表开始入环的第一个节点。 如果链表无环,则返回null

如果链表中有某个节点,可以通过连续跟踪next指针再次到达,则链表中存在环。 为了表示给定链表中的环,评测系统内部使用整数pos来表示链表尾连接到链表中的位置(索引从0开始)。如果pos-1,则在该链表中没有环。注意pos不作为参数进行传递,仅仅是为了标识链表的实际情况。

不允许修改链表。

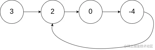
示例 1:

image.png

输入: head = [3,2,0,-4], pos = 1
输出: 返回索引为 1 的链表节点
解释: 链表中有一个环,其尾部连接到第二个节点。

示例 2:

image.png

输入: head = [1,2], pos = 0
输出: 返回索引为 0 的链表节点
解释: 链表中有一个环,其尾部连接到第一个节点。

示例 3:

image.png

输入: head = [1], pos = -1
输出: 返回 null
解释: 链表中没有环。

提示:

  • 链表中节点的数目范围在范围 [0, 104] 内
  • -105 <= Node.val <= 105
  • pos 的值为 -1 或者链表中的一个有效索引

解题思路

image.png

从上图中,我们不难得出,两指针相遇时

  • 快指针走过的节点为 A+N(B+C)+B
  • 慢指针走过的节点为 A+B
  • 因为有快指针速度是慢指针的2
  • 所以 A+N(B+C)+B=2(A+B) 简化等式得到 A =(N-1)(B+C)+C

B+C为一个环,我们可以忽略,因此可以得到A=C,只要在快慢指针相遇时从头结点开始有个指针向下走,跟慢指针相遇的节点就是我们要输出的pos节点

解题代码

var detectCycle = function(head) { 
    if(!head) return null 
    let fast = head 
    let slow = head
    let pos = head 
    while (fast&&fast.next){ 
        slow = slow.next 
        fast = fast.next.next 
        if(slow==fast) {
            while (slow){ 
                if(slow==pos)  return pos 
                slow = slow.next
                pos = pos.next 
            } 
            return null
        }
    }
    return null 
};

如有任何问题或建议,欢迎留言讨论!