MySql的主从复制、主主复制【MySql 5.7,Docker】

906 阅读4分钟

一、环境准备

我们需要准备两台MySql,我这里使用docker,那么我就需要开启两个MySql容器就好了。
docker安装MySql看这里 Docker安装MySql并启动
docker相关命令 Docker常用命令【镜像、容器、File】持续更新…

\

二、主从复制

2-1:配置主服务器

2-1-1:配置主服务器的 my.cnf 添加以下内容

[mysqld]
## 同一局域网内注意要唯一
server-id=1
## 开启二进制日志功能,可以随便取(关键)
log-bin=mysql-bin

如果你是使用我上面那种方式启动的MySql,那么你只需要去你相关联的宿主机的配置文件夹里面去建立一个 my.cnf 然后写入上面的类容就好了。

比如:我的启动命令如下(不应该换行的,这里为了方便查看,我给它分行了)

那么我只需要在  /docker/mysql_master/conf 这个目录下创建 my.cnf 文件就好了。

 docker run -p 12345:3306 --name mysql_master 
-v /docker/mysql_master/conf:/etc/mysql/conf.d 
-v /docker/mysql_master/logs:/logs 
-v /docker/mysql_master/data:/var/lib/mysql 
-e MYSQL_ROOT_PASSWORD=123456 -d mysql:5.7

2-1-2:重启服务

这个命令是需要在容器里面执行的

 service mysql restart

docker重启mysql会关闭容器,我们需要重启容器。

2-1-3:查看 skip_networking 的状态

确保在主服务器上 skip_networking 选项处于 OFF 关闭状态, 这是默认值。
如果是启用的,则从站无法与主站通信,并且复制失败。

mysql> show variables like '%skip_networking%';
+-----------------+-------+
| Variable_name   | Value |
+-----------------+-------+
| skip_networking | OFF   |
+-----------------+-------+
1 row in set (0.00 sec)

2-1-4:创建一个专门用来复制的用户

CREATE USER 'repl'@'%' identified by '123456';

GRANT REPLICATION SLAVE ON *.*  TO  'repl'@'%';

\

2-2:配置从服务器

2-2-1:配置从服务器的 my.cnf (和上面一致)

[mysqld]
server-id=2

我的命令如下

docker run -p 12346:3306 --name mysql_from 
-v /docker/mysql_from/conf:/etc/mysql/conf.d 
-v /docker/mysql_from/logs:/logs 
-v /docker/mysql_from/data:/var/lib/mysql 
-e MYSQL_ROOT_PASSWORD=123456 -d mysql:5.7

2-2-2:重启 从服务器 (和上面一致)

2-2-3:配置连接到主服务器的相关信息

在从服务器配置连接到主服务器的相关信息 (在容器里面的mysql执行)

mysql>  CHANGE MASTER TO MASTER_HOST='xxxxx', MASTER_PORT=3306,MASTER_USER='repl',MASTER_PASSWORD='123456';

上面代码的xxxxx你需要换成你的IP,docker 查看容器 IP 的命令如下:

docker inspect --format=’{{.NetworkSettings.IPAddress}}’ 容器名称/容器id

启动的那个从服务器的线程

mysql> start slave;
Query OK, 0 rows affected (0.00 sec)

2-2-4:查看同步状态

mysql>  show slave status \G;

image.png

\

2-3:测试

测试的话,你可以在主服务器里面,创建一个数据库,发现从服务器里面也有了,就成功了。

\

2-4:其它

2-4-1 :如果你还想要一个从服务器,那么你只需要按照上面配置从服务器再配置一个就行了,

2-4-2 :新建的从服务器,会自动保存主服务器之前的数据。(测试结果)

\

三、主主复制

如果你上面的主从复制搞定了,那么这个主主复制就很简单了。我们把上面的从服务器也改成主服务器

1、修改上面的从服务器的my.cnf文件,和主服务器的一样(注意这个server-id不能一样)然后重启服务器

2、在从服务器里面创建一个复制用户创建命令一样(这里修改一下用户名可以改为 repl2)

3、在之前的主服务器里面运行下面这个代码

 CHANGE MASTER TO MASTER_HOST='xxxx', MASTER_PORT=3306,MASTER_USER='repl2',MASTER_PASSWORD='123456';

start slave;

4、测试


\

四、其它

上面主要是教你怎么搭建一个MySql集群,但是这里面还有很多其它的问题。也是我在学习过程中思考的问题,可能有的小伙伴上来看到文章长篇大论的看不下去,只想去实现这样一直集群功能,所以我就把问题写在下面了。

1、MySQL的replication和pxc

MySql的集群方案有replication和pxc两种,上面是基于replication实现的。

replication:  异步复制,速度快,无法保证数据的一致性。
pxc:  同步复制,速度慢,多个集群之间是事务提交的数据一致性强。

\

2、MySQL的replication数据同步的原理

我们在配置的时候开启了它的二进制日志,每次操作数据库的时候都会更新到这个日志里面去。主从通过同步这个日志来保证数据的一致性。

\

3、可否不同步全部的数据

可以配置,同步哪些数据库,甚至是哪些表。

\

4、怎么关闭和开始同步

mysql> STOP SLAVE;

mysql> START SLAVE;

\

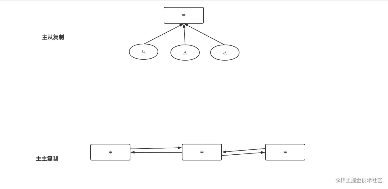
5、我就我的理解画出了,主从、主从从、主主、复制的图。

image.png

\

6、视频讲解

www.bilibili.com/video/BV1BK…


\

参考

www.jianshu.com/p/faf0127f1…
www.cnblogs.com/songwenjie/…