LeetCode-二叉树遍历问题整理

251 阅读21分钟

整理了 LeetCode 上关于二叉树遍历的相关问题。

问题列表

144. 二叉树的前序遍历

94. 二叉树的中序遍历

145. 二叉树的后序遍历

102. 二叉树的层序遍历

889. 根据前序和后序遍历构造二叉树

105. 从前序与中序遍历序列构造二叉树

106. 从中序与后序遍历序列构造二叉树

相关问题:

114. 二叉树展开为链表

107. 二叉树的层序遍历 II

103. 二叉树的锯齿形层序遍历

1028. 从先序遍历还原二叉树

前言

定义二叉树的节点类 TreeNode

public class TreeNode {
    int val;
    TreeNode left;
    TreeNode right;

    TreeNode() {
    }

    TreeNode(int val) {
        this.val = val;
    }

    TreeNode(int val, TreeNode left, TreeNode right) {
        this.val = val;
        this.left = left;
        this.right = right;
    }
}

该节点组成的二叉树有以下特点:

  • 根节点是一棵二叉树的唯一入口
  • 一个节点,只能从它的父节点遍历到它

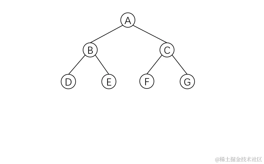
比如,在下图中,要遍历到节点B,只能从它的父节点A才能遍历到,C也是同理,不能从B遍历它的兄弟节点C。

image-20210918213122129

因此,在二叉树的“前序、中序、后序”遍历过程中,当我们遍历到某个节点 node 时,要能够继续遍历 node 的父节点或兄弟节点,就需要在遍历 node 的父节点时,记录下 node 的父节点和兄弟节点,然后再以某种方式取出。

不同的遍历方式,可以看做是,使用不同的方式记录和取出父节点、兄弟节点。

遍历方式

144. 二叉树的前序遍历

遍历方式:根-左-右

如下图所示,树的入口是根节点 A,遍历顺序如下:

1、遍历根节点 A


遍历 A 的左子树,B = A.left 作为左子树的根节点,是左子树的入口,遍历顺序如下:

2.1、遍历节点 B

2.2、遍历 B 的左子节点 D

2.3、遍历 B 的右子节点 E


遍历 A 的右子树,C = A.right 作为右子树的根节点,是右子树的入口,遍历顺序如下:

3.1、遍历节点 C

3.2、遍历 C 的左子节点 F

3.3、遍历 C 的右子节点 G

image-20210829155351605

image-20210829155351605

递归

前序遍历都是先遍历根节点,再遍历左子树,最后遍历右子树,可以使用递归实现。

定义函数:pre(list,root)pre(list,root)

含义:把根节点为 root 的二叉树,以前序遍历的方式保存进列表 list 中,pre(list,root.letf)pre(list,root.right)pre(list,root.letf)、pre(list,root.right) 分别表示遍历root 节点的左子树和右子树。

代码实现如下:

class Solution {

    public List<Integer> preorderTraversal(TreeNode root) {
        List<Integer> list = new LinkedList<>();
        pre(list, root);
        return list;
    }

    private void pre(List<Integer> list, TreeNode root) {
        if (root != null) {
            // 遍历根节点
            list.add(root.val);
            // 遍历左子树
            pre(list, root.left);
            // 遍历右子树
            pre(list, root.right);
        }
    }
}

迭代

怎么用迭代的方式现实前序遍历?

我们回顾一下前面的遍历过程:

  • 在“2.3”遍历完节点 D 后,再遍历它的兄弟节点 E
  • 在“3.1”遍历完左子树后,再开始遍历右子树根节点
  • 在“3.3”遍历完节点 F 后,再遍历它的兄弟节点 G

在“前言”部分,我们已经知道,只能在父节点才能遍历到它的左右子节点,不能从子节点遍历到父节点或兄弟节点。因此,我们在遍历到节点 node 前,要记录下它的兄弟节点。

在遍历过程中,怎么记录节点?

从上面树的结构图和遍历结果发现:

  • 遍历节点 B 之前,要记录 B 的兄弟节点 C
  • 遍历节点 D 之前,要记录 D 的兄弟节点 E

在遍历的结果数组中我们发现:

  • 同一层的节点,右子节点比左子树节点先遍历到,但是却排在左子树的后面,比如节点 C 比节点 D 先遍历到,却排在节点 D 后面

这种“先进-后出”记录方式,可以用栈来实现:

  • 先 push 右子节点进栈,再 push 左子节点进栈
  • pop 出左子节点后,再 push 左子节点的“右子节点、左子节点”,保证左子树满足前序遍历

代码实现如下:

class Solution {
    public List<Integer> preorderTraversal(TreeNode root) {
        List<Integer> list = new LinkedList<>();
        if(root == null) {
            return list;
        }
        // 根节点先遍历
        list.add(root.val);

        Stack<TreeNode> stack = new Stack<>();
        // 依次记录右子节点、左子节点
        if (root.right != null) {
            stack.push(root.right);
        }
        if (root.left != null) {
            stack.push(root.left);
        }

        while (!stack.isEmpty()) {
            TreeNode node = stack.pop();
            list.add(node.val);
            // 先把右节点压进栈中,因为右节点在左节点添加完之后,才会出栈
            if (node.right != null) {
                stack.push(node.right);
            }
            if (node.left != null) {
                stack.push(node.left);
            }
        }
        return list;
    }
}

94. 二叉树的中序遍历

遍历方式:左-根-右

如下图所示,树的入口是根节点 A,遍历顺序如下:


遍历 A 的左子树,B = A.left 是左子树的根节点,是左子树的入口,遍历顺序如下:

1.1、遍历 B 的左子节点 D

1.2、节点 D 没有子树,遍历 D 的父节点 B

1.3、遍历 B 右子节点 E,E 没有子树,左子树遍历完成


2、遍历根节点 A


遍历 A 的右子树,C = A.right 是右子树的根节点,是右子树的入口,遍历顺序如下:

3.1、遍历 C 的左子节点 F

3.2、节点 F 没有子树,遍历 F 的父节点 C

3.2、遍历 C 右子节点 G,G 没有子树,右子树遍历完成

image-20210829155351605

image-20210829163341263

递归

中序遍历都是先遍历左子树、再遍历根节点、最后遍历右子树,可以使用递归函数来实现遍历过程。

定义函数:inorder(list,root)inorder(list,root)

含义:把根节点为 root 的二叉树的中序遍历保存进列表 list 中,inorder(list,root.letf)inorder(list,root.right)inorder(list,root.letf)、inorder(list,root.right) 分别表示遍历root 节点的左子树和右子树。

代码实现如下:

class Solution {
    
    public List<Integer> inorderTraversal(TreeNode root) {
        List<Integer> list = new LinkedList<>();
        inorder(list, root);
        return list;
    }

    private void inorder(List<Integer> list, TreeNode root) {
        if (root != null) {
            // 遍历左子树
            inorder(list, root.left);
            // 遍历根节点
            list.add(root.val);
            // 遍历右子树
            inorder(list, root.right);
        }
    }
}

迭代

有了前序遍历的迭代经验,我们很容易发现,中序遍历用栈的痕迹更明显:从根节点(父节点)进入到一棵子树,但是根节点(父节点)却排在左子树后面。

因此,我们可以用一个栈,从根节点开始,不断把根节点和左子节点 push 进栈,然后再 pop 出栈,就可以遍历完每个左子树和它的根节点。

每个根节点的右子树怎么遍历?

因为只能从更节点进入右子树,所以从栈中 pop 处一个节点 node 时,要判断它是否有右子节点。如果有右子节点,就要从 node.right 开始,遍历该右子树。

代码实现如下:

class Solution {

    public List<Integer> inorderTraversal(TreeNode root) {
        List<Integer> list = new LinkedList<>();
        if (root == null) {
            return list;
        }
        Stack<TreeNode> stack = new Stack<>();

        while (root != null || !stack.isEmpty()) {
            // 从 root 节点进入,沿着左子树不断遍历,把父节点、左子节点 push 进栈
            while (root != null) {
                stack.push(root);
                root = root.left;
            }
            // pop 栈顶节点
            TreeNode node = stack.pop();
            list.add(node.val);
            // 让 root 指向右子树的根节点,在下一次循环时,遍历 node 的右子树
            root = node.right;
        }
        return list;
    }
}

145. 二叉树的后序遍历

遍历方式:左-右-根

如下图所示,树的入口是根节点 A,遍历顺序如下:


遍历 A 的左子树,B = A.left 作为左子树的根节点,是左子树的入口,遍历顺序如下:

1.1、遍历 B 的左子节点 D

1.2、遍历 B 的右子节点 E

1.3、遍历节点 B


遍历A的右子树,C = A.right 作为右子树的根节点,是右子树的入口,遍历顺序如下:

2.1、遍历 C 的左子节点 F

2.2、遍历 C 的右子节点 G

2.3、遍历节点 C


3、遍历根节点A

image-20210829155351605

image-20210829170257962

递归

后序遍历都是先遍历左子树、再遍历右子树、最后遍历根节点,可以使用递归函数来实现。

定义函数:postOrder(list,root)postOrder(list,root)

含义:把根节点为 root 的二叉树的中序遍历保存进列表 list 中,postOrder(list,root.letf)postOrder(list,root.right)postOrder(list,root.letf)、postOrder(list,root.right) 分别表示遍历root 节点的左子树和右子树。

代码实现如下:

class Solution {
    
    public List<Integer> postorderTraversal(TreeNode root) {
        List<Integer> list = new LinkedList<>();
        postOrder(list, root);
        return list;
    }

    private void postOrder(List<Integer> list, TreeNode root) {
        if (root != null) {
            // 遍历左子树
            postOrder(list, root.left);
            // 遍历右子树
            postOrder(list, root.right);
            // 遍历根节点
            list.add(root.val);
        }
    }
}

迭代

根节点和左右子树节点的关系:先遍历根节点(父节点),但是根节点(父节点)却排在左子树、右子树后面。

因此,我们用一个栈,从根节点开始,把根节点、右子节点、左子节点,依次 push 进栈中,然后再从栈中依次 pop 出栈顶节点。

从栈顶 pop 出节点后,要做什么?

后序遍历依次遍历父节点的左子树、右子树、父节点自身,因此,在从栈顶 push 出节点 node 后,要判断 node 是否有子节点:

  • 如果没有子节点,就可以把 node 节点值添加进结果列表
  • 如果有子节点,就要把 node 节点作为子树的根节点,按照前面的步骤,把 node、node.right、node.left 再依次 push 进栈

存在什么问题?

把 node 节点从栈里 pop 出来后,如果有子节点会再次被 push 进栈,导致死循环。所以,在把 node 节点的左右子节点 push 进栈之后,要把左右子节点分别设置为 null,避免死循环。

代码实现如下:

class Solution {

    public List<Integer> postorderTraversal(TreeNode root) {
        List<Integer> list = new LinkedList<>();
        Stack<TreeNode> stack = new Stack<>();

        while (root != null || !stack.isEmpty()) {
            while (root != null) {
                // 把根节点 push 入栈
                stack.push(root);
                // 把右子节点 push 入栈,并把右指针设为 null
                if (root.right != null) {
                    stack.push(root.right);
                    root.right = null;
                }
                // 指向左子节点,在下一个循环时,把左子节点 push 入栈,把左指针设为 null
                TreeNode tmp = root.left;
                root.left = null;
                root = tmp;
            }
            // pop 出栈顶节点,如果没有子节点,就添加进结果集
            // 如果一个节点左右指针都是 null,要么它是叶子节点,要么它的子节点都已经进栈了,可以把该节点遍历进结果集
            TreeNode node = stack.pop();
            if (node.left == null && node.right == null) {
                list.add(node.val);
            } else {
                // 如果有子节点,就作为子树的根节点,继续添加进栈中
                root = node;
            }
        }
        return list;
    }
}

102. 二叉树的层序遍历

遍历方式:逐层遍历整棵数,同层节点从左向右添加进结果列表

如下图所示,树的入口是根节点 A,遍历顺序如下:

1、遍历根节点A


遍历 A 的两个子节点,遍历顺序如下:

2.1、遍历左子节点 B

2.2、遍历右子节点 C


遍历 B 和 C 的两个两个子节点,遍历顺序如下:

3.1、遍历 B 的左子节点 D

3.2、遍历 B 的右子节点 E

3.3、遍历 C 的左子节点 F

3.4、遍历 C 的右子节点 G

Snipaste_2021-09-05_16-44-29

在层序遍历结果中,根节点(父节点)排在它的左右子节点的前面。

因此和前面的三种遍历方式不同,我们使用一个先进先出的队列,父节点、左子节点、右子节点 先后进队再出队。

代码实现如下:

class Solution {

    public List<Integer> levelOrder(TreeNode root) {
        if (root == null) {
            return new ArrayList<>();
        }
        List<Integer> res = new LinkedList<>();
        Queue<TreeNode> queue = new ArrayDeque<>();
        // 把父节点添加进队列
        queue.offer(root);

        while (!queue.isEmpty()) {
            TreeNode node = queue.poll();
            // 把左子节点添加进队列
            if (node.left != null) {
                queue.offer(node.left);
            }
            // 把右子节点添加进队列
            if (node.right != null) {
                queue.offer(node.right);
            }
            // 把父节点值添加进列表
            res.add(node.val);
        }
        return res;
    }
}

102. 二叉树的层序遍历 要求把二叉树中同一层的节点添加进同一个字列表。这就要求,在遍历某一层节点时,知道该层有多少个节点,遍历完这一层所有节点后,再遍历下一层。

怎么知道某一层有多少个节点?

从前面的图片和代码我们可以发现,当遍历某一层节点时:

  • 当遍历开始这一层最左节点时,会在队列中添加下一层的节点

  • 当遍历完这一层最右节点时,下一层的节点添加完成

因此,在遍历某一层最左边节点时,队列中大小就是这一层的节点数。我们只要取出与列表大小相同的节点数,就取完这一层的节点了。

代码实现如下:

class Solution {

    public List<List<Integer>> levelOrder(TreeNode root) {
        if (root == null) {
            return new ArrayList<>();
        }
        List<List<Integer>> res = new LinkedList<>();
        Queue<TreeNode> queue = new ArrayDeque<>();
        queue.offer(root);

        while (!queue.isEmpty()) {
            // 队列中剩余的节点数,就是当前层的节点数
            int size = queue.size();
            // 取出当前层的节点,并把下一层节点添加进队列
            List<Integer> subList = new ArrayList<>(size);
            for (int i = 0; i < size; i++) {
                TreeNode node = queue.poll();
                if (node.left != null) {
                    queue.offer(node.left);
                }
                if (node.right != null) {
                    queue.offer(node.right);
                }
                subList.add(node.val);
            }
            res.add(subList);
        }
        return res;
    }
}

恢复二叉树

889. 根据前序和后序遍历构造二叉树

前序遍历和后序遍历的结果数组如下所示:

前序遍历数组

后序遍历数组

根据前序遍历和后序遍历的规则,以及遍历结果数组,我们可以得出:

  • 在前序遍历数组 pre 中,第一个元素 pre[0] 是二叉树的根节点 root,第二个元素 pre[1] 是左子树的根节点;
  • 在后序遍历数组 post 中,最后一个元素 post[n-1] 是根节点,倒数第二个元素 post[n-2] 是右子树的根节点;
  • 如果 pre[1] == post[n-2] 相等,说明根节点 root 只有一课子树。

根据子树根节点在 pre 和 post 中下标位置,我们可以确定左右子树的范围,求解过程如下:

假设右子树根节点 post[n-2] 在 pre 数组中的下标为 i,左子树根节点 pre[1] 在 post 数组中的下标为 j,那么存在如下关系:

  • pre[1,i-1] 是左子树在 pre 中的范围,post[0,j] 是左子树在 post 中的范围
  • pre[i,n-1] 是右子树在 pre 中的范围,post[j+1,n-2] 是右子树在 post 中的范围

因为左子树和右子树也满足上述规则,所以我们可以使用一个递归函数 recursion(ls,le,rs,re) 来恢复二叉树。传入的参数分别为:

  • 当前树的左子树,在 pre 中的开始和结束下标

  • 当前树的右子树,在 post 中的开始和结束下标

代码实现如下:

class Solution {
    /**
     * 两个 hashmap 分别记录 前序遍历、后续遍历 中各个值的下标
     */
    Map<Integer, Integer> preMap, postMap;
    int[] preorder, postorder;

    public TreeNode constructFromPrePost(int[] preorder, int[] postorder) {
        this.preMap = getIndexMap(preorder);
        this.postMap = getIndexMap(postorder);
        this.preorder = preorder;
        this.postorder = postorder;

        return recursion(0, preorder.length - 1, 0, preorder.length - 1);
    }

    private TreeNode recursion(int ls, int le, int rs, int re) {
        // 先取出根节点
        TreeNode root = new TreeNode(preorder[ls]);
        if (le <= ls) {
            return root;
        }
        // i : 右子树根节点在 pre 中的下标, j : 左子树根节点在 post 中的下标
        int i = preMap.get(postorder[re - 1]), j = postMap.get(preorder[ls + 1]);
        // 如果左右子树根节点相同,说明 root 只有一个子节点
        if (preorder[ls + 1] == postorder[re - 1]) {
            root.left = recursion(ls + 1, le, rs, j);
        } else {
            root.left = recursion(ls + 1, i - 1, rs, j);
            root.right = recursion(i, le, j + 1, re - 1);
        }
        return root;
    }

    private Map<Integer, Integer> getIndexMap(int[] nums) {
        Map<Integer, Integer> map = new HashMap<>(nums.length);
        for (int i = 0; i < nums.length; i++) {
            map.put(nums[i], i);
        }
        return map;
    }
}

105. 从前序与中序遍历序列构造二叉树

前序遍历和中序遍历的结果数组:

image-20210829155351605

前序遍历结果数组

image-20210829163341263

中序遍历结果数组

根据前序遍历和中序遍历的规,以及遍历结果数组,我们可以得出:

  • 前序遍历数组 pre 的第一个元素 pre[0] 是二叉树的根节点 root
  • 在中序遍历数组 in 中,根节点的左边是左子树、右边是右子树

假设 pre[0] 在中序遍历数组 in 中的下标是 i,那么有以下几种情况:

  • i == 0:root 只有右子树,pre[1,n-1] 是右子树,in[i+1,n-1] 是右子树
  • i == n- 1:root 只有左子树,pre[1,n-1] 是左子树,in[0,i-1] 是左子树
  • i 等于其他值:pre[1,i]、in[0,i-1] 是左子树,pre[i+1,n-1]、in[i+1,n-1] 是右子树

889. 根据前序和后序遍历构造二叉树 不同的是,这里只使用了一个变量 i(根节点在中序遍历中的下标),就能确定左右子树。

因为左子树和右子树也满足上述规则,同理,我们定义一个递归函数来求解 recursion(ls,le,rs,re)

代码实现如下:

class Solution {
    /**
     * 记录前序遍历、中序遍历中每个数的下标
     */
    Map<Integer, Integer> preMap, inMap;
    int[] preorder, inorder;

    public TreeNode buildTree(int[] preorder, int[] inorder) {
        this.preorder = preorder;
        this.inorder = inorder;
        this.preMap = getIndexMap(preorder);
        this.inMap = getIndexMap(inorder);

        return recursion(0, preorder.length - 1, 0, inorder.length - 1);
    }

    private TreeNode recursion(int ls, int le, int rs, int re) {
        // 子树的范围已经无效,说明已经遍历结束了
        if (ls >= preorder.length || le < ls || re < rs) {
            return null;
        }
        // 根节点
        TreeNode root = new TreeNode(preorder[ls]);
        // 根节点在中序遍历中的、in 数组中左子树的长度
        int i = inMap.get(preorder[ls]), l = i - rs;
        // 根据左子树的长度,计算出左右子树的范围
        root.left = recursion(ls + 1, ls + l, rs, i - 1);
        root.right = recursion(ls + l + 1, le, i + 1, re);
        return root;
    }

    private Map<Integer, Integer> getIndexMap(int[] nums) {
        Map<Integer, Integer> map = new HashMap<>(nums.length);
        for (int i = 0; i < nums.length; i++) {
            map.put(nums[i], i);
        }
        return map;
    }
}

106. 从中序与后序遍历序列构造二叉树

中序遍历和后序遍历数组结果如下所示:

image-20210829163341263

中序遍历结果数组

后序遍历数组

根据中序遍历和后序遍历的规则,以及遍历结果数组,我们可以得出:

  • 后序数组 post 中,最后一个元素 post[n-1] 是二叉树的根节点 root
  • 在中序遍历数组 in 中,根节点的左边是左子树、右边是右子树

假设 post[n-1] 在中序遍历数组 in 中的下标为 i,可以得到以下信息:

  • 在中序遍历数组中,左子树的开始下标是0,左子树在 in 中的长度为 l = i - 0
  • in[0,i-1] 是左子树的中序遍历,post[0,l-1] 是左子树的后序遍历
  • in[i+1,n-1] 是右子树的中序遍历,post[l,n-2] 是右子树的后序遍历

105. 从前序与中序遍历序列构造二叉树 相似,这里也只使用了一个变量 i(根节点在中序遍历中的下标),就能确定左右子树。

因为左子树和右子树也满足上述规则,同理,我们定义一个递归函数来求解 recursion(ls,le,rs,re)

代码实现如下:

class Solution {
    /**
     * 后序遍历、中序遍历数组中元素的下标
     */
    Map<Integer, Integer> postMap, inMap;
    int[] postorder, inorder;

    public TreeNode buildTree(int[] inorder, int[] postorder) {
        this.inorder = inorder;
        this.postorder = postorder;
        this.inMap = getIndexMap(this.inorder);
        this.postMap = getIndexMap(this.postorder);
        return recursion(0, this.inorder.length - 1, 0, this.postorder.length - 1);
    }

    private TreeNode recursion(int ls, int le, int rs, int re) {
        // 没有有效的子树范围
        if (re >= postorder.length || le < ls || re < rs) {
            return null;
        }
        // 根节点
        TreeNode root = new TreeNode(postorder[re]);
        // 根节点在中序遍历中的下标、左子树的长度
        int i = inMap.get(root.val), l = i - ls;
        
        root.left = recursion(ls, i - 1, rs, rs + l - 1);
        root.right = recursion(i + 1, le, rs + l, re - 1);
        return root;
    }

    private Map<Integer, Integer> getIndexMap(int[] nums) {
        Map<Integer, Integer> map = new HashMap<>(nums.length);
        for (int i = 0; i < nums.length; i++) {
            map.put(nums[i], i);
        }
        return map;
    }
}

其他相关问题

114. 二叉树展开为链表

本题与 144. 二叉树的前序遍历 相似,都需要前序遍历二叉树。区别在于,本题要生成一个单链表,且满足以下要求:

  • 链表的起始节点是二叉树的根节点
  • 每个节点只有右指针,没有左指针
  • 链表中节点顺序与前序遍历相同

我们在前序遍历的基础上,增加以下改动:

  • 要把每个节点的左子节点设置为 null
  • 把当前遍历的节点设置为前一个节点的右子节点

因此,使用两个临时变量 pre、cur 分别指向前一个节点、当前遍历的节点。

代码实现如下:

class Solution {
    public void flatten(TreeNode root) {
        Stack<TreeNode> stack = new Stack<>();
        if (root != null) {
            stack.add(root);
        }
        // 前一个节点、当前节点
        TreeNode pre = null, cur = null;
        while (!stack.isEmpty()) {
            // 正常的前序遍历
            cur = stack.pop();
            if (cur.right != null) {
                stack.push(cur.right);
            }
            if (cur.left != null) {
                stack.push(cur.left);
                // 把左指针设置为 null
                cur.left = null;
            }
            // 更新 pre 的指向,如果 pre 为 null,表示 cur 是根节点
            if (pre != null) {
                pre.right = cur;
            }
            pre = cur;
        }
    }
}

107. 二叉树的层序遍历 II

该问题与 102. 二叉树的层序遍历 解法相同。

区别在于:把每一层子节点列表添加进结果集时,添加到结果集的头部。

代码实现如下:

class Solution {

    public List<List<Integer>> levelOrderBottom(TreeNode root) {
        if (root == null) {
            return new ArrayList<>();
        }
        List<List<Integer>> res = new LinkedList<>();
        Queue<TreeNode> queue = new ArrayDeque<>();
        queue.offer(root);

        while (!queue.isEmpty()) {
            int size = queue.size();
            List<Integer> subList = new ArrayList<>(size);
            for (int i = 0; i < size; i++) {
                TreeNode node = queue.poll();
                if (node.left != null) {
                    queue.offer(node.left);
                }
                if (node.right != null) {
                    queue.offer(node.right);
                }
                subList.add(node.val);
            }
            // 把这一层的节点列表,添加到结果哦列表的头部
            res.add(0, subList);
        }
        return res;
    }
}

103. 二叉树的锯齿形层序遍历

该问题与 102. 二叉树的层序遍历 解法相同。

区别在于:在遍历过程中,每隔一层就要翻转一次节点列表。可以使用一个标志位来表示是否要翻转,并在每一层遍历后修改标志位。

代码实现如下:

class Solution {

    public List<List<Integer>> zigzagLevelOrder(TreeNode root) {
        if (root == null) {
            return new ArrayList<>();
        }
        List<List<Integer>> res = new LinkedList<>();
        Queue<TreeNode> queue = new ArrayDeque<>();
        queue.add(root);
        // flag == true 表示从左向右,flag == false 表示从右向左
        boolean flag = true;
        while (!queue.isEmpty()) {
            // 正常的层序遍历
            int size = queue.size();
            List<Integer> nodeList = new ArrayList<>(size);
            for (int i = 0; i < size; i++) {
                TreeNode node = queue.poll();
                if (node.left != null) {
                    queue.add(node.left);
                }
                if (node.right != null) {
                    queue.add(node.right);
                }
                // 把当前节点保存进临时列表中
                nodeList.add(node.val);
            }
            // 如果需要翻转,翻转临时列表
            if (!flag) {
                Collections.reverse(nodeList);
            }
            // 修改翻转标志
            flag = !flag;
            // 把临时列表添加进结果集
            res.add(nodeList);
        }
        return res;
    }
}

1028. 从先序遍历还原二叉树

这一题和105. 从前序与中序遍历序列构造二叉树889. 根据前序和后序遍历构造二叉树 的不同之处在于:这里没有中序遍历和后序遍历的结果,而是使用短横杠“-”的个数来表示节点的深度。比如,给的示例中,节点 ,3、6 深度都是2,所以有两个短横杆“--”:

image-20210920150241325

怎么从这样的字符串中恢复二叉树?

我们知道,前序遍历的结果由“根节点-左子树-右子树”组成,并且“左子树”和“右子树”的结构与整棵树的结构相同。

如果我们从字符串中能够确定整棵树的“根节点、根节点的左子节点、根节点的右子节点”,就能用同样的方法在“左子树”和“右子树”分别确定它们的根节点和两个子节点,从而以递归的方式求解整棵树。

如何确定根节点、左子节点、右子节点?

一棵树的前序遍历结果中,第一个元素是根节点,第二个元素是根节点的子节点(左子节点或右子节点)。

在这一题的字符串中,我们需要先得到第二个元素的深度,如果第二个元素是左子节点,可以在字符串后续的范围内找到第二个深度相同的节点作为右子节点。

通过确定左子节点、右子节点的下标,从而知道“左子树”、“右子树”在字符串中的范围,递归地求解左子树和右子树。

代码实现如下:

class Solution {
    public TreeNode recoverFromPreorder(String traversal) {
        return recursion(traversal, 0, traversal.length() - 1);
    }

    /**
     * 以递归方式,从字符串 traversal 中恢复二叉树
     *
     * @param traversal 字符串
     * @param start     开始下标,包含 start
     * @param end       结束下标,包含 end
     * @return 二叉树
     */
    private TreeNode recursion(String traversal, int start, int end) {
        if (start > end) {
            return null;
        }
        // 根节点
        int val = 0;
        while (start < traversal.length() && Character.isDigit(traversal.charAt(start))) {
            val = val * 10 + Character.getNumericValue(traversal.charAt(start));
            start++;
        }
        TreeNode root = new TreeNode(val);
        // 确定左子树的开始下标
        // level : 根节点后紧跟着的节点深度, ls : 左子树的开始下标
        int level = 0, ls = start;
        while (start < traversal.length() && traversal.charAt(ls) == '-') {
            level++;
            ls++;
        }
        // 找右子树的开始下标
        int rs = findNodeIndex(traversal, ls, end, level);

        // 递归
        if (rs < 0) {
            // 没有右子树
            root.left = recursion(traversal, ls, end);
        } else {
            root.left = recursion(traversal, ls, rs - level - 1);
            root.right = recursion(traversal, rs, end);
        }
        return root;
    }

    /**
     * 在字符串 traversal 中,找到深度为 level 的节点开始下标
     *
     * @param traversal 字符串
     * @param start     查找范围的起点,包含 start
     * @param end       查找范围的终点,包含 end
     * @param level     深度, levn >= 1
     * @return 开始下标,如果没找到,就返回-1
     */
    private int findNodeIndex(String traversal, int start, int end, int level) {
        int len = 0;
        boolean flag = false;
        for (; start < end; start++) {
            while (traversal.charAt(start) == '-') {
                start++;
                len++;
            }
            // 找到 level 个 '-'
            if (len == level) {
                flag = true;
                break;
            } else {
                len = 0;
            }
        }
        if (flag) {
            return start;
        } else {
            return -1;
        }
    }
}

官方题解 从先序遍历还原二叉树 给出了一种迭代求解的方式,代码以及注释如下:

class Solution {

    public TreeNode recoverFromPreorder(String traversal) {
        // 保存取出的节点,保存进 path 中
        Stack<TreeNode> path = new Stack<>();
        int pos = 0;
        // 遍历的下标不能超过字符串长度
        while (pos < traversal.length()) {
            // level : 当前节点的深度, -- 的长度
            int level = 0;
            while (traversal.charAt(pos) == '-') {
                ++level;
                ++pos;
            }
            // 取出数字
            int value = 0;
            while (pos < traversal.length() && Character.isDigit(traversal.charAt(pos))) {
                value = value * 10 + (traversal.charAt(pos) - '0');
                ++pos;
            }
            // 构造节点
            TreeNode node = new TreeNode(value);
            // 根据前序遍历的规则,从 root 一直遍历它的左子节点
            // 如果 level == path.size,说明当前节点是根节点 或 path中最后一个节点的左子节点
            if (level == path.size()) {
                if (!path.isEmpty()) {
                    path.peek().left = node;
                }
            } else {
                // 如果 level != path.size,说明当前节点是某个节点的右子节点
                // 从 path 中 pop 出节点,直到 path.size == level,node 就是 path 中最后一个节点的右子节点
                while (level != path.size()) {
                    path.pop();
                }
                path.peek().right = node;
            }
            // 把节点保存进 path
            path.push(node);
        }
        // 直到只剩下根节点
        while (path.size() > 1) {
            path.pop();
        }
        return path.peek();
    }
}

总结

对“二叉树遍历、二叉树恢复”相关问题进行了整理,关键在于:

  • 在遍历二叉树节点的过程中怎么保存和取出节点
  • 不同二叉树遍历结果中,根节点、子树之间的分布规律