JavaScript链表刷题(五)

479 阅读1分钟

这是我参与8月更文挑战的第26天,活动详情查看:8月更文挑战

之前写了JavaScript链表刷题JavaScript链表刷题(二)JavaScript链表刷题(三)JavaScript链表刷题(四)

有兴趣的童鞋可以冲,接下来继续刷两道链表题~~

一、删除排序链表中的重复元素

83. 删除排序链表中的重复元素

存在一个按升序排列的链表,给你这个链表的头节点 head ,请你删除所有重复的元素,使每个元素 只出现一次 。

返回同样按升序排列的结果链表。

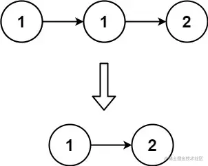
示例 1:

image.png

输入:head = [1,1,2]
输出:[1,2]

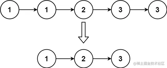
示例 2:

image.png

输入:head = [1,1,2,3,3]
输出:[1,2,3]

提示:

  • 链表中节点数目在范围 [0, 300] 内
  • -100 <= Node.val <= 100
  • 题目数据保证链表已经按升序排列

来源:力扣(LeetCode) 链接:leetcode-cn.com/problems/re… 著作权归领扣网络所有。商业转载请联系官方授权,非商业转载请注明出处。

解题思路

设置一个指针,一直向后走,如果当前节点是否等于后一个节点,则删除后一个节点,直到走到链表尾为止。

代码实现

/**
 * Definition for singly-linked list.
 * function ListNode(val, next) {
 *     this.val = (val===undefined ? 0 : val)
 *     this.next = (next===undefined ? null : next)
 * }
 */
/**
 * @param {ListNode} head
 * @return {ListNode}
 */
var deleteDuplicates = function(head) {
    let cur = head;
    while(cur != null && cur.next != null) {
        if(cur.val == cur.next.val) {
             cur.next = cur.next.next;
        } else {
            cur = cur.next;
        }
    }
    return head;
};

二、分隔链表

86. 分隔链表

给你一个链表的头节点 head 和一个特定值 x ,请你对链表进行分隔,使得所有 小于 x 的节点都出现在 大于或等于 x 的节点之前。

你应当 保留 两个分区中每个节点的初始相对位置。

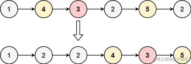
示例 1: image.png

输入:head = [1,4,3,2,5,2], x = 3
输出:[1,2,2,4,3,5]

示例 2:

输入:head = [2,1], x = 2
输出:[1,2]

提示:

  • 链表中节点的数目在范围 [0, 200] 内
  • -100 <= Node.val <= 100
  • -200 <= x <= 200

来源:力扣(LeetCode) 链接:leetcode-cn.com/problems/pa… 著作权归领扣网络所有。商业转载请联系官方授权,非商业转载请注明出处。

解题思路

 设置两个链表small和big,将原链表中的节点一个一个单独取出后,判断其大小,放入到对应的链表中。

当所有节点都放置完成后,将small链表的尾部链接big链表的头部,这样就形成了所求的链表。

代码实现

/**
 * Definition for singly-linked list.
 * function ListNode(val, next) {
 *     this.val = (val===undefined ? 0 : val)
 *     this.next = (next===undefined ? null : next)
 * }
 */
/**
 * @param {ListNode} head
 * @param {number} x
 * @return {ListNode}
 */
var partition = function(head, x) {
    // 设置两个链表
    let small = new ListNode();
    let big = new ListNode();
    // 两个链表的操作指针
    let bigNode= big;
    let smallNode = small;
    // 设置p指向当前操作的节点
    // 设置q指向p的下个节点,并将p.next设置为null使之成为单独的节点
    // 判断p的大小,将p放置到对应的链表中
    for(let p = head; p != null; p = q) {
            q = p.next;
            p.next = null;
        if(p.val >= x) {
            bigNode.next = p;
            bigNode = bigNode.next;
        } else {
            smallNode.next = p;
            smallNode = smallNode.next;
        }
    }
    smallNode.next = big.next;
    return small.next;
};