JavaScript链表刷题

257 阅读4分钟

这是我参与8月更文挑战的第16天,活动详情查看:8月更文挑战

今天用JavaScript来刷下链表题~~

一、判断是否为环形链表

141. 环形链表

给定一个链表,判断链表中是否有环。

如果链表中有某个节点,可以通过连续跟踪 next 指针再次到达,则链表中存在环。 为了表示给定链表中的环,我们使用整数 pos 来表示链表尾连接到链表中的位置(索引从 0 开始)。 如果 pos 是 -1,则在该链表中没有环。注意:pos 不作为参数进行传递,仅仅是为了标识链表的实际情况。

如果链表中存在环,则返回 true 。 否则,返回 false 。

进阶:你能用 O(1)(即,常量)内存解决此问题吗?

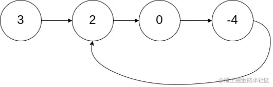
示例 1:

image.png

输入:head = [3,2,0,-4], pos = 1
输出:true
解释:链表中有一个环,其尾部连接到第二个节点。

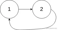
示例 2:

image.png

输入:head = [1,2], pos = 0
输出:true
解释:链表中有一个环,其尾部连接到第一个节点。

示例 3:

image.png

输入:head = [1], pos = -1
输出:false
解释:链表中没有环。

提示:

链表中节点的数目范围是 [0, 104] -105 <= Node.val <= 105 pos 为 -1 或者链表中的一个 有效索引 。

来源:力扣(LeetCode) 链接:leetcode-cn.com/problems/li… 著作权归领扣网络所有。商业转载请联系官方授权,非商业转载请注明出处。

解题思路 :快慢指针

设置两个指针,一个每次走一步称为慢指针,另一个每次走两步称为快指针。

当链表无环的时候,快指针会先到达链表末尾。 

当链表有环的时候,两个指针走着都会在环里循环的走,终会相遇于某个节点。

image.png

代码实现

/**
 * Definition for singly-linked list.
 * function ListNode(val) {
 *     this.val = val;
 *     this.next = null;
 * }
 */
 
/**
 * @param {ListNode} head
 * @return {boolean}
 */
var hasCycle = function(head) {
    if(head == null) {
        return false;
    }
    let fast =head, slow = head;
    while(fast && fast.next) {
        slow = slow.next;
        fast = fast.next.next;
        if(slow === fast) {
            return true;
        }
    }
    return false;
};

二、判断是否为环形链表并确定环的起点

142. 环形链表 II

给定一个链表,返回链表开始入环的第一个节点。 如果链表无环,则返回 null。

为了表示给定链表中的环,我们使用整数 pos 来表示链表尾连接到链表中的位置(索引从 0 开始)。 如果 pos 是 -1,则在该链表中没有环。注意,pos 仅仅是用于标识环的情况,并不会作为参数传递到函数中。

说明:不允许修改给定的链表。

进阶:你是否可以使用 O(1) 空间解决此题?  

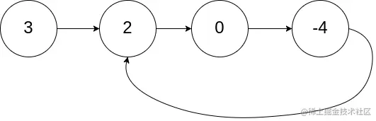
示例 1:

image.png

输入:head = [3,2,0,-4], pos = 1
输出:返回索引为 1 的链表节点
解释:链表中有一个环,其尾部连接到第二个节点。

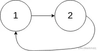
示例 2:

image.png

输入:head = [1,2], pos = 0
输出:返回索引为 0 的链表节点
解释:链表中有一个环,其尾部连接到第一个节点。

示例 3:

image.png

输入:head = [1], pos = -1
输出:返回 null
解释:链表中没有环。

提示:

链表中节点的数目范围在范围 [0, 104] 内 -105 <= Node.val <= 105 pos 的值为 -1 或者链表中的一个有效索引

来源:力扣(LeetCode) 链接:leetcode-cn.com/problems/li… 著作权归领扣网络所有。商业转载请联系官方授权,非商业转载请注明出处。

解题思路:快慢指针

当有环时,

假设当慢指针走到环的起点距离为a,则快指针走了2a距离;

假设此时快指针距离环的起点为x,则当快指针再走2x的时候,慢指针走了x,此时快慢指针正好相遇。

由于x+a为一个环的长度,所以慢指针继续走a步就会到达环的起点;

将慢指针从头开始走,当指针走a步也会到达环的起点,所以这个指针跟慢指针同时走到相遇于环的起点时就能看出a的长度。 image.png

代码实现


/**js
 * Definition for singly-linked list.
 * function ListNode(val) {
 *     this.val = val;
 *     this.next = null;
 * }
 */
 
/**
 * @param {ListNode} head
 * @return {ListNode}
 */
var detectCycle = function(head) {
    // 创建快慢指针
    let fast = head, slow = head;
    // 当快指针不为空的时候,快慢指针一直往后走
    while(fast && fast.next) {
        slow = slow.next;
        fast = fast.next.next;
        // 当快慢指针相遇时证明有环
        if(fast === slow) {
            // 将快指针从头开始走,与慢指针同时走,每次走一步,当相遇时证明在环的起点
            fast = head;
            while(slow !== fast) {
                slow = slow.next;
                fast = fast.next;
            }
            return fast;
        }
    }
    // 当快指针为空时证明走到链表尾了,链表无环
    return null;
};

系列文章

以下是JavaScript链表刷题的系列文章, 有兴趣的童鞋可以冲~~

JavaScript链表刷题

JavaScript链表刷题(二)

JavaScript链表刷题(三)

JavaScript链表刷题(四)

JavaScript链表刷题(五)