首届中国心电智能大赛初赛赛制说明

327 阅读4分钟

首届中国心电智能大赛初赛赛制说明


初赛赛题

各团队在初赛中的目标是利用常规静息心电图的电压信号,预测“正常心电图”和“异常心电图”。根据心血管医生对心电图的诊断结果作为金标准,我们将那些没有明显异常的心电图作为“正常心电图”,并将包含一种或更多异常或疾病的心电图作为“异常心电图”。各团队需要在初赛规定时间内,利用训练集中常规心电图的电压信号,设计并实现可预测正常和异常等两类心电图的算法。各团队在测试集中常规心电图的预测结果将用于计算成绩。

初赛数据

下载完整的训练集和测试集,共1000例常规心电图,其中训练集中包含600例,测试集中共400例。该数据是从多个公开数据集中获取。参赛团队需要利用有正常/异常两类标签的训练集数据设计和实现算法,并在没有标签的测试集上做出预测。

该心电数据的采样率为500 Hz。为了方便参赛团队用不同编程语言都能读取数据,所有心电数据的存储格式为MAT格式。该文件中存储了12个导联的电压信号。训练数据对应的标签存储在txt文件中,其中0代表正常,1代表异常。

结果提交

各参赛队伍需要在初赛正式结束之前,在下方提交代码文件、模型文件(如有)和在测试集数据上的预测结果。大赛组委会通过比较预测结果与金标准来计算各支参赛队伍的初赛成绩。为了保证初赛结果的公平公正,我们将检查各参赛队伍的算法代码,并在测试集上进行结果验证。为了快速完成测试,各参赛队伍需要参考样例代码,布局需和样例代码保持一致,且必须包含如下各个文件:

• 结果文件: answers.txt,保存对测试集的预测结果,其中每一行代表样本编号及其预测结果

• 运行脚本: run.sh,为便于组委会对参赛队伍的代码进行验证,我们将该执行该脚本得到answers.txt

• 代码包: source_code.zip,参赛队伍可将算法相关代码放入该代码包内,输出是对测试集‘TEST’所有样本的预测结果,格式和文件名须与样例answers.txt一致

• 说明文件: README.txt,运行代码的相关说明需写入该文件中

所有参赛团队可多次提交结果,组委会以最后一次提交结果为准

评分机制

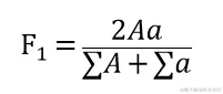
如果参赛队伍的代码按照样例代码布局,确定没有缺失和错误,会输出对测试集的预测结果。大赛组委会通过对比预测结果与金标准计算F_1分数,作为参赛队伍的初赛成绩。大赛组委会首先根据参赛队伍的预测结果统计出下表中各个数据,

随后计算F1分数,定义如下:

考虑到当不同算法的成绩非常接近时,其性能可能没有显著差异,因此我们将对所有参赛团队的成绩保留到小数点后4位。

初赛重要时间节点

初赛的时间为北京时间4月1日至4月20日。大赛组委会在北京时间4月1日9点开放数据和样例代码的下载链接,北京时间4月8日起开放提交结果的上传链接,并于北京时间4月20日18点关闭所有链接。组委会将在5月1日前公布初赛结果。参赛选手需要按照样例代码的布局要求,在规定时间内提交代码和在测试集上的预测结果 (缺一不可) 。为了保证比赛的公平公正,组委会对代码进行测试。组委会同时尊重各参赛队伍的知识产权,在赛后不会公开相关代码。