完全图解RNN、RNN变体、Seq2Seq、Attention机制
看到一篇讲的很透彻的文章,来自何之源大牛。划线部分是自己的一下理解和补充,供大家参考。。
目录
本文主要是利用图片的形式,详细地介绍了经典的RNN、RNN几个重要变体,以及Seq2Seq模型、Attention机制。希望这篇文章能够提供一个全新的视角,帮助初学者更好地入门。
一、从单层网络谈起
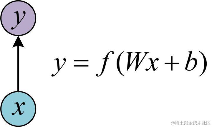
在学习RNN之前,首先要了解一下最基本的单层网络,它的结构如图:
输入是x,经过变换Wx+b和激活函数f得到输出y。相信大家对这个已经非常熟悉了。
二、经典的RNN结构(N vs N)
在实际应用中,我们还会遇到很多序列形的数据:

如:
- 自然语言处理问题。x1可以看做是第一个单词,x2可以看做是第二个单词,依次类推。
- 语音处理。此时,x1、x2、x3……是每帧的声音信号。
- 时间序列问题。例如每天的股票价格等等
序列形的数据就不太好用原始的神经网络处理了。为了建模序列问题,RNN引入了隐状态h(hidden state)的概念,h可以对序列形的数据提取特征,接着再转换为输出。先从h1的计算开始看:

图示中记号的含义是:
- 圆圈或方块表示的是向量。
- 一个箭头就表示对该向量做一次变换。如上图中h0和x1分别有一个箭头连接,就表示对h0和x1各做了一次变换。
在很多论文中也会出现类似的记号,初学的时候很容易搞乱,但只要把握住以上两点,就可以比较轻松地理解图示背后的含义。
h2的计算和h1类似。要注意的是,在计算时,每一步使用的参数U、W、b都是一样的,也就是说每个步骤的参数都是共享的,这是RNN的重要特点,一定要牢记。
依次计算剩下来的(使用相同的参数U、W、b):

我们这里为了方便起见,只画出序列长度为4的情况,实际上,这个计算过程可以无限地持续下去。
我们目前的RNN还没有输出,得到输出值的方法就是直接通过h进行计算:

正如之前所说,一个箭头就表示对对应的向量做一次类似于f(Wx+b)的变换,这里的这个箭头就表示对h1进行一次变换,得到输出y1。
剩下的输出类似进行(使用和y1同样的参数V和c):

OK!大功告成!这就是最经典的RNN结构,我们像搭积木一样把它搭好了。它的输入是x1, x2, .....xn,输出为y1, y2, ...yn,也就是说,输入和输出序列必须要是等长的。
由于这个限制的存在,经典RNN的适用范围比较小,但也有一些问题适合用经典的RNN结构建模,如:
- 计算视频中每一帧的分类标签。因为要对每一帧进行计算,因此输入和输出序列等长。
- 输入为字符,输出为下一个字符的概率。这就是著名的Char RNN(详细介绍请参考:The Unreasonable Effectiveness of Recurrent Neural Networks,Char RNN可以用来生成文章,诗歌,甚至是代码,非常有意思)。
三、N VS 1
有的时候,我们要处理的问题输入是一个序列,输出是一个单独的值而不是序列,应该怎样建模呢?实际上,我们只在最后一个h上进行输出变换就可以了:

这种结构通常用来处理序列分类问题。如输入一段文字判别它所属的类别,输入一个句子判断其情感倾向,输入一段视频并判断它的类别等等。
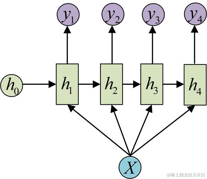
四、1 VS N
输入不是序列而输出为序列的情况怎么处理?我们可以只在序列开始进行输入计算:
还有一种结构是把输入信息X作为每个阶段的输入:

下图省略了一些X的圆圈,是一个等价表示:
这种1 VS N的结构可以处理的问题有:
- 从图像生成文字(image caption),此时输入的X就是图像的特征,而输出的y序列就是一段句子
- 从类别生成语音或音乐等
五、N vs M
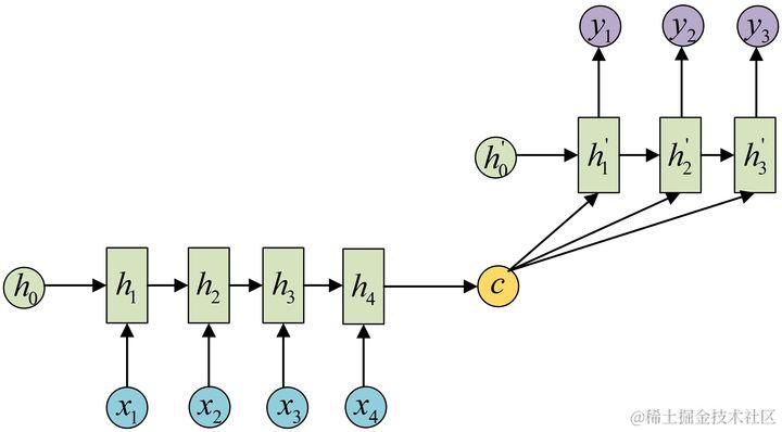
下面我们来介绍RNN最重要的一个变种:N vs M。这种结构又叫Encoder-Decoder模型,也可以称之为Seq2Seq模型。
原始的N vs N RNN要求序列等长,然而我们遇到的大部分问题序列都是不等长的,如机器翻译中,源语言和目标语言的句子往往并没有相同的长度。
为此,Encoder-Decoder结构先将输入数据编码成一个上下文向量c:

得到c有多种方式,最简单的方法就是把Encoder的最后一个隐状态赋值给c,还可以对最后的隐状态做一个变换得到c,也可以对所有的隐状态做变换。
拿到c之后,就用另一个RNN网络对其进行解码,这部分RNN网络被称为Decoder。具体做法就是将c当做之前的初始状态h0输入到Decoder中:
还有一种做法是将c当做每一步的输入:
由于这种Encoder-Decoder结构不限制输入和输出的序列长度,因此应用的范围非常广泛,比如:
- 机器翻译。Encoder-Decoder的最经典应用,事实上这一结构就是在机器翻译领域最先提出的
- 文本摘要。输入是一段文本序列,输出是这段文本序列的摘要序列。
- 阅读理解。将输入的文章和问题分别编码,再对其进行解码得到问题的答案。
- 语音识别。输入是语音信号序列,输出是文字序列。
- …………
六、Attention机制
在Encoder-Decoder结构中,Encoder把所有的输入序列都编码成一个统一的语义特征c再解码,因此, c中必须包含原始序列中的所有信息,它的长度就成了限制模型性能的瓶颈。 如机器翻译问题,当要翻译的句子较长时,一个c可能存不下那么多信息,就会造成翻译精度的下降。
Attention机制通过在每个时间输入不同的c来解决这个问题,下图是带有Attention机制的Decoder: (重点)

每一个c会自动去选取与当前所要输出的y最合适的上下文信息。具体来说,我们用 衡量Encoder中第j阶段的hj和解码时第i阶段的相关性,最终Decoder中第i阶段的输入的上下文信息
就来自于所有
对
的加权和。 (对
,
的乘积求和 )
以机器翻译为例(将中文翻译成英文):
输入的序列是“我爱中国”,因此,Encoder中的h1、h2、h3、h4就可以分别看做是“我”、“爱”、“中”、“国”所代表的信息。在翻译成英语时,第一个上下文c1应该和“我”这个字最相关,因此对应的 就比较大,而相应的
、
、
就比较小。c2应该和“爱”最相关,因此对应的
就比较大。最后的c3和h3、h4最相关,因此
、
的值就比较大。
至此,关于Attention模型,我们就只剩最后一个问题了,那就是:这些权重 是怎么来的?
事实上, 同样是从模型中学出的,它实际和Decoder的第i-1阶段的隐状态、Encoder第j个阶段的隐状态有关。
同样还是拿上面的机器翻译举例, 的计算(此时箭头就表示对h'和
同时做变换): (如何计算是重点难点)

的计算:

的计算:

以上就是带有Attention的Encoder-Decoder模型计算的全过程。
七、总结
本文主要讲了N vs N,N vs 1、1 vs N、N vs M四种经典的RNN模型,以及如何使用Attention结构。希望能对大家有所帮助。
可能有小伙伴发现没有LSTM的内容,其实是因为LSTM从外部看和RNN完全一样,因此上面的所有结构对LSTM都是通用的,想了解LSTM内部结构的可以参考这篇文章:Understanding LSTM Networks,写得非常好,推荐阅读。