[深度学习概念]·Siamese network 孪生神经网络简介

803 阅读6分钟

Siamese network 孪生神经网络--一个简单神奇的结构

 

  1. 名字的由来

Siamese和Chinese有点像。Siam是古时候泰国的称呼,中文译作暹罗。Siamese也就是“暹罗”人或“泰国”人。Siamese在英语中是“孪生”、“连体”的意思,这是为什么呢?

十九世纪泰国出生了一对连体婴儿,当时的医学技术无法使两人分离出来,于是两人顽强地生活了一生,1829年被英国商人发现,进入马戏团,在全世界各地表演,1839年他们访问美国北卡罗莱那州后来成为“玲玲马戏团” 的台柱,最后成为美国公民。1843年4月13日跟英国一对姐妹结婚,恩生了10个小孩,昌生了12个,姐妹吵架时,兄弟就要轮流到每个老婆家住三天。1874年恩因肺病去世,另一位不久也去世,两人均于63岁离开人间。两人的肝至今仍保存在费城的马特博物馆内。从此之后“暹罗双胞胎”(Siamese twins)就成了连体人的代名词,也因为这对双胞胎让全世界都重视到这项特殊疾病。

image

至于连体双胞胎是如何同英国姐妹分别生下了22个孩子的方法,就靠大家自己脑补了。

简单来说,Siamese network就是“连体的神经网络”,神经网络的“连体”是通过共享权值来实现的,如下图所示。

image

大家可能会有疑问:共享权值是什么意思?左右两个神经网络的权重一模一样?

答:是的,在代码实现的时候,甚至可以是同一个网络,不用实现另外一个,因为权值都一样。对于siamese network,两边可以是lstm或者cnn,都可以。

大家可能还有疑问:如果左右两边不共享权值,而是两个不同的神经网络,叫什么呢?

答:pseudo-siamese network,伪孪生神经网络,如下图所示。对于pseudo-siamese network,两边可以是不同的神经网络(如一个是lstm,一个是cnn),也可以是相同类型的神经网络。

image

2. 孪生神经网络的用途是什么?

简单来说,衡量两个输入的相似程度。孪生神经网络有两个输入(Input1 and Input2),将两个输入feed进入两个神经网络(Network1 and Network2),这两个神经网络分别将输入映射到新的空间,形成输入在新的空间中的表示。通过Loss的计算,评价两个输入的相似度。

据我查到的资料,养乐村同志在NIPS 1993上发表了论文《Signature Verification using a ‘Siamese’ Time Delay Neural Network》用于美国支票上的签名验证,即验证支票上的签名与银行预留签名是否一致。1993年,养乐村同志就在用两个卷积神经网络做签名验证了,而我刚出生,作为一个出生没几年的新神经网络,在受我爸妈的训练。

image

随着SVM等算法的兴起,neural network被人们遗忘,还好有一些执着的人们,坚守在了神经网络研究的阵地。2010年Hinton在ICML上发表了文章《Rectified Linear Units Improve Restricted Boltzmann Machines》,用来做人脸验证,效果很好。其原理很简单,将两个人脸feed进卷积神经网络,输出same or different。

image

啥?Siamese network只能做二分类?

不不不,它能做的事情还有很多很多,后面会继续介绍。

3. 孪生神经网络和伪孪生神经网络分别适用于什么场景呢?

先上结论:孪生神经网络用于处理两个输入"比较类似"的情况。伪孪生神经网络适用于处理两个输入"有一定差别"的情况。比如,我们要计算两个句子或者词汇的语义相似度,使用siamese network比较适合;如果验证标题与正文的描述是否一致(标题和正文长度差别很大),或者文字是否描述了一幅图片(一个是图片,一个是文字),就应该使用pseudo-siamese network。也就是说,要根据具体的应用,判断应该使用哪一种结构,哪一种Loss。

4. Siamese network loss function一般用哪一种呢?

Softmax当然是一种好的选择,但不一定是最优选择,即使是在分类问题中。传统的siamese network使用Contrastive Loss。损失函数还有更多的选择,siamese network的初衷是计算两个输入的相似度,。左右两个神经网络分别将输入转换成一个"向量",在新的空间中,通过判断cosine距离就能得到相似度了。Cosine是一个选择,exp function也是一种选择,欧式距离什么的都可以,训练的目标是让两个相似的输入距离尽可能的小,两个不同类别的输入距离尽可能的大。其他的距离度量没有太多经验,这里简单说一下cosine和exp在NLP中的区别。

根据实验分析,cosine更适用于词汇级别的语义相似度度量,而exp更适用于句子级别、段落级别的文本相似性度量。其中的原因可能是cosine仅仅计算两个向量的夹角,exp还能够保存两个向量的长度信息,而句子蕴含更多的信息(当然,没有做实验验证这个事情)。

我们在论文里使用了exp距离做多分类,解决Fakenewschallenge上标题与正文立场是否一致的衡量问题。

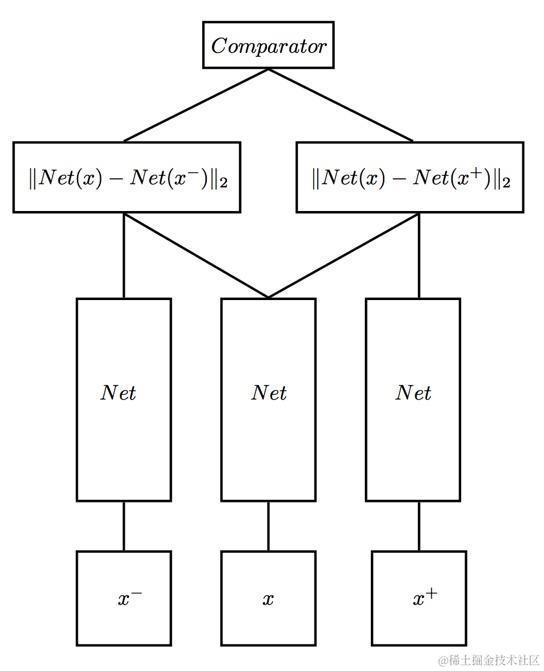
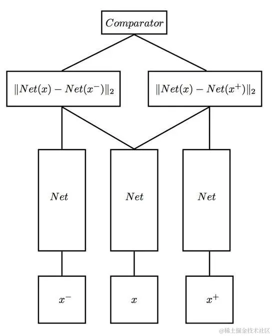
5. Siamese network是双胞胎连体,整一个三胞胎连体行不行?

不好意思,已经有人整过了,叫Triplet network,论文是《Deep metric learning using Triplet network》,输入是三个,一个正例+两个负例,或者一个负例+两个正例,训练的目标是让相同类别间的距离尽可能的小,让不同类别间的距离尽可能的大。Triplet在cifar, mnist的数据集上,效果都是很不错的,超过了siamese network。四胞胎,五胞胎会不会更屌?。。。。。目前还没见过。。。。

image

 

6. Siamese network的用途有哪些?

这个可以说太多了,nlp&cv领域都有很多应用。

  • 前面提到的词汇的语义相似度分析,QA中question和answer的匹配,签名/人脸验证。
  • 手写体识别也可以用siamese network,网上已有github代码。
  • 还有kaggle上Quora的question pair的比赛,即判断两个提问是不是同一问题,冠军队伍用的就是n多特征+Siamese network,知乎团队也可以拿这个模型去把玩一下。
  • 在图像上,基于Siamese网络的视觉跟踪算法也已经成为热点《Fully-convolutional siamese networks for object tracking》。