[深度学习工具]·python音频常用的操作

176 阅读10分钟

作者:桂。

时间:2017-05-03  12:18:46

链接:www.cnblogs.com/xingshansi/… 


前言

本文主要记录python下音频常用的操作,以.wav格式文件为例。其实网上有很多现成的音频工具包,如果仅仅调用,工具包是更方便的。

更多pyton下的操作可以参考: 用python做科学计算

1、批量读取.wav文件名:

123456import os filepath ``= "./data/" #添加路径``filename``= os.listdir(filepath) ``#得到文件夹下的所有文件名称 ``for file in filename:``    ``print``(filepath``+``file``)

  这里用到字符串路径:

1.通常意义字符串(str)
2.原始字符串,以大写R 或 小写r开始,r'',不对特殊字符进行转义
3.Unicode字符串,u'' basestring子类

如:

123path ``= './file/n'``path ``= r``'.\file\n'``path ``= '.\\file\\n'

  三者等价,右划线\为转义字符,引号前加r表示原始字符串,而不转义(r:raw string).

常用获取帮助的方式:

>>> help(str)
>>> dir(str)
>>> help(str.replace)

2、读取.wav文件

wave.open 用法:

1wave.``open``(``file``,mode)

  mode可以是:

‘rb’,读取文件;

‘wb’,写入文件;

不支持同时读/写操作。

Wave_read.getparams用法:

123f ``= wave.``open``(``file``,``'rb'``)``params ``= f.getparams()``nchannels, sampwidth, framerate, nframes ``= params[:``4``]

  其中最后一行为常用的音频参数:

nchannels:声道数

sampwidth:量化位数(byte)

framerate:采样频率

nframes:采样点数 

  • 单通道

 对应code:

1234567891011121314151617181920import wave``import matplotlib.pyplot as plt``import numpy as np``import os filepath ``= "./data/" #添加路径``filename``= os.listdir(filepath) ``#得到文件夹下的所有文件名称 ``f ``= wave.``open``(filepath``+``filename[``1``],``'rb'``)``params ``= f.getparams()``nchannels, sampwidth, framerate, nframes ``= params[:``4``]``strData ``= f.readframes(nframes)``#读取音频,字符串格式``waveData ``= np.fromstring(strData,dtype``=``np.int16)``#将字符串转化为int``waveData ``= waveData``*``1.0``/``(``max``(``abs``(waveData)))``#wave幅值归一化``# plot the wave``time ``= np.arange(``0``,nframes)``*``(``1.0 / framerate)``plt.plot(time,waveData)``plt.xlabel(``"Time(s)"``)``plt.ylabel(``"Amplitude"``)``plt.title(``"Single channel wavedata"``)``plt.grid(``'on'``)``#标尺,on:有,off:无。

  结果图:

  • 多通道

 这里通道数为3,主要借助np.reshape一下,其他同单通道处理完全一致,对应code:

1234567891011121314151617181920212223242526272829303132333435363738394041424344# -*- coding: utf-8 -*-``"""``Created on Wed May  3 12:15:34 2017 @author: Nobleding``""" import wave``import matplotlib.pyplot as plt``import numpy as np``import os filepath ``= "./data/" #添加路径``filename``= os.listdir(filepath) ``#得到文件夹下的所有文件名称 ``f ``= wave.``open``(filepath``+``filename[``0``],``'rb'``)``params ``= f.getparams()``nchannels, sampwidth, framerate, nframes ``= params[:``4``]``strData ``= f.readframes(nframes)``#读取音频,字符串格式``waveData ``= np.fromstring(strData,dtype``=``np.int16)``#将字符串转化为int``waveData ``= waveData``*``1.0``/``(``max``(``abs``(waveData)))``#wave幅值归一化``waveData ``= np.reshape(waveData,[nframes,nchannels])``f.close()``# plot the wave``time ``= np.arange(``0``,nframes)``*``(``1.0 / framerate)``plt.figure()``plt.subplot(``5``,``1``,``1``)``plt.plot(time,waveData[:,``0``])``plt.xlabel(``"Time(s)"``)``plt.ylabel(``"Amplitude"``)``plt.title(``"Ch-1 wavedata"``)``plt.grid(``'on'``)``#标尺,on:有,off:无。``plt.subplot(``5``,``1``,``3``)``plt.plot(time,waveData[:,``1``])``plt.xlabel(``"Time(s)"``)``plt.ylabel(``"Amplitude"``)``plt.title(``"Ch-2 wavedata"``)``plt.grid(``'on'``)``#标尺,on:有,off:无。``plt.subplot(``5``,``1``,``5``)``plt.plot(time,waveData[:,``2``])``plt.xlabel(``"Time(s)"``)``plt.ylabel(``"Amplitude"``)``plt.title(``"Ch-3 wavedata"``)``plt.grid(``'on'``)``#标尺,on:有,off:无。``plt.show()

  效果图:

单通道为多通道的特例,所以多通道的读取方式对任意通道wav文件都适用。需要注意的是,waveData在reshape之后,与之前的数据结构是不同的。即waveData[0]等价于reshape之前的waveData,但不影响绘图分析,只是在分析频谱时才有必要考虑这一点。

3、wav写入

涉及到的主要指令有三个:

  • 参数设置:
123456789nchannels ``= 1 #单通道为例``sampwidth ``= 2``fs ``= 8000``data_size ``= len``(outData)``framerate ``= int``(fs)``nframes ``= data_size``comptype ``= "NONE"``compname ``= "not compressed"``outwave.setparams((nchannels, sampwidth, framerate, nframes, comptype, compname))
  • 待写入wav文件的存储路径及文件名:
12outfile ``= filepath``+``'out1.wav'``outwave ``= wave.``open``(outfile, ``'wb'``)``#定义存储路径以及文件名
  •  数据的写入:
12for v ``in outData:``        ``outwave.writeframes(struct.pack(``'h'``, ``int``(v ``* 64000 / 2``)))``#outData:16位,-32767~32767,注意不要溢出

单通道数据写入

12345678910111213141516171819202122232425262728293031323334import wave``#import matplotlib.pyplot as plt``import numpy as np``import os``import struct #wav文件读取``filepath ``= "./data/" #添加路径``filename``= os.listdir(filepath) ``#得到文件夹下的所有文件名称 ``f ``= wave.``open``(filepath``+``filename[``1``],``'rb'``)``params ``= f.getparams()``nchannels, sampwidth, framerate, nframes ``= params[:``4``]``strData ``= f.readframes(nframes)``#读取音频,字符串格式``waveData ``= np.fromstring(strData,dtype``=``np.int16)``#将字符串转化为int``waveData ``= waveData``*``1.0``/``(``max``(``abs``(waveData)))``#wave幅值归一化``f.close()``#wav文件写入``outData ``= waveData``#待写入wav的数据,这里仍然取waveData数据``outfile ``= filepath``+``'out1.wav'``outwave ``= wave.``open``(outfile, ``'wb'``)``#定义存储路径以及文件名``nchannels ``= 1``sampwidth ``= 2``fs ``= 8000``data_size ``= len``(outData)``framerate ``= int``(fs)``nframes ``= data_size``comptype ``= "NONE"``compname ``= "not compressed"``outwave.setparams((nchannels, sampwidth, framerate, nframes,``    ``comptype, compname)) for v ``in outData:``        ``outwave.writeframes(struct.pack(``'h'``, ``int``(v ``* 64000 / 2``)))``#outData:16位,-32767~32767,注意不要溢出``outwave.close()

多通道数据写入

多通道的写入与多通道读取类似,多通道读取是将一维数据reshape为二维,多通道的写入是将二维的数据reshape为一维,其实就是一个逆向的过程:

123456789101112131415161718192021222324252627282930313233343536import wave``#import matplotlib.pyplot as plt``import numpy as np``import os``import struct #wav文件读取``filepath ``= "./data/" #添加路径``filename``= os.listdir(filepath) ``#得到文件夹下的所有文件名称 ``f ``= wave.``open``(filepath``+``filename[``0``],``'rb'``)``params ``= f.getparams()``nchannels, sampwidth, framerate, nframes ``= params[:``4``]``strData ``= f.readframes(nframes)``#读取音频,字符串格式``waveData ``= np.fromstring(strData,dtype``=``np.int16)``#将字符串转化为int``waveData ``= waveData``*``1.0``/``(``max``(``abs``(waveData)))``#wave幅值归一化``waveData ``= np.reshape(waveData,[nframes,nchannels])``f.close()``#wav文件写入``outData ``= waveData``#待写入wav的数据,这里仍然取waveData数据``outData ``= np.reshape(outData,[nframes``*``nchannels,``1``])``outfile ``= filepath``+``'out2.wav'``outwave ``= wave.``open``(outfile, ``'wb'``)``#定义存储路径以及文件名``nchannels ``= 3``sampwidth ``= 2``fs ``= 8000``data_size ``= len``(outData)``framerate ``= int``(fs)``nframes ``= data_size``comptype ``= "NONE"``compname ``= "not compressed"``outwave.setparams((nchannels, sampwidth, framerate, nframes,``    ``comptype, compname)) for v ``in outData:``        ``outwave.writeframes(struct.pack(``'h'``, ``int``(v ``* 64000 / 2``)))``#outData:16位,-32767~32767,注意不要溢出``outwave.close()

  这里用到struct.pack(.)二进制的转化

例如:

4、音频播放

 wav文件的播放需要用到pyaudio,安装包点击这里。我将它放在\Scripts文件夹下,cmd并切换到对应目录

1pip install PyAudio``-``0.2``.``9``-``cp35``-``none``-``win_amd64.whl

  pyaudio安装完成。

  • Pyaudio主要用法:

主要列出pyaudio对象的open()方法的参数:

    • rate:采样率
    • channels:声道数
    • format:采样值的量化格式,值可以为paFloat32、paInt32、paInt24、paInt16、paInt8等。下面的例子中,使用get_from_width()将值为2的sampwidth转换为paInt16.
    • input:输入流标志,Ture表示开始输入流
    • output:输出流标志

给出对应code:

123456789101112131415161718192021222324252627282930313233import wave``import pyaudio ``import os #wav文件读取``filepath ``= "./data/" #添加路径``filename``= os.listdir(filepath) ``#得到文件夹下的所有文件名称 ``f ``= wave.``open``(filepath``+``filename[``0``],``'rb'``)``params ``= f.getparams()``nchannels, sampwidth, framerate, nframes ``= params[:``4``]``#instantiate PyAudio ``p ``= pyaudio.PyAudio() ``#define stream chunk  ``chunk ``= 1024 #打开声音输出流``stream ``= p.``open``(``format = p.get_format_from_width(sampwidth),``                ``channels ``= nchannels,``                ``rate ``= framerate, ``                ``output ``= True``)  #写声音输出流到声卡进行播放``data ``= f.readframes(chunk) ``i``=``1``while True``:``    ``data ``= f.readframes(chunk)``    ``if data ``=``= b'': ``break``    ``stream.write(data)   ``f.close()``#stop stream ``stream.stop_stream() ``stream.close() ``#close PyAudio ``p.terminate() 

  因为是python3.5,判断语句if data == b'': break 的b不能缺少。

5、信号加窗

通常对信号截断、分帧需要加窗,因为截断都有频域能量泄露,而窗函数可以减少截断带来的影响。

窗函数在scipy.signal信号处理工具箱中,如hamming窗:

12import scipy.signal as signal``pl.plot(signal.hanning(``512``))

利用上面的函数,绘制hanning窗:

1234import pylab as pl``import scipy.signal as signal``pl.figure(figsize``=``(``6``,``2``))``pl.plot(signal.hanning(``512``))

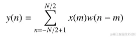
6、信号分帧

 信号分帧的理论依据,其中x是语音信号,w是窗函数:

加窗截断类似采样,为了保证相邻帧不至于差别过大,通常帧与帧之间有帧移,其实就是插值平滑的作用。

给出示意图:

 这里主要用到numpy工具包,涉及的指令有:

  • np.repeat:主要是直接重复
  • np.tile:主要是周期性重复

对比一下:

向量情况:

矩阵情况:

对于数据:

repeat操作:

tile操作:

对应结果:

 对应分帧的代码实现:

 这是没有加窗的示例:

1234567891011121314151617181920212223242526272829303132333435363738394041424344import numpy as np``import wave``import os``#import math def enframe(signal, nw, inc):``    ``'''将音频信号转化为帧。``    ``参数含义:``    ``signal:原始音频型号``    ``nw:每一帧的长度(这里指采样点的长度,即采样频率乘以时间间隔)``    ``inc:相邻帧的间隔(同上定义)``    ``'''``    ``signal_length``=``len``(signal) ``#信号总长度``    ``if signal_length<``=``nw: ``#若信号长度小于一个帧的长度,则帧数定义为1``        ``nf``=``1``    ``else``: ``#否则,计算帧的总长度``        ``nf``=``int``(np.ceil((``1.0``*``signal_length``-``nw``+``inc)``/``inc))``    ``pad_length``=``int``((nf``-``1``)``*``inc``+``nw) ``#所有帧加起来总的铺平后的长度``    ``zeros``=``np.zeros((pad_length``-``signal_length,)) ``#不够的长度使用0填补,类似于FFT中的扩充数组操作``    ``pad_signal``=``np.concatenate((signal,zeros)) ``#填补后的信号记为pad_signal``    ``indices``=``np.tile(np.arange(``0``,nw),(nf,``1``))``+``np.tile(np.arange(``0``,nf``*``inc,inc),(nw,``1``)).T  ``#相当于对所有帧的时间点进行抽取,得到nf*nw长度的矩阵``    ``indices``=``np.array(indices,dtype``=``np.int32) ``#将indices转化为矩阵``    ``frames``=``pad_signal[indices] ``#得到帧信号``#    win=np.tile(winfunc(nw),(nf,1))  #window窗函数,这里默认取1``#    return frames*win   #返回帧信号矩阵``    ``return frames``def wavread(filename):``    ``f ``= wave.``open``(filename,``'rb'``)``    ``params ``= f.getparams()``    ``nchannels, sampwidth, framerate, nframes ``= params[:``4``]``    ``strData ``= f.readframes(nframes)``#读取音频,字符串格式``    ``waveData ``= np.fromstring(strData,dtype``=``np.int16)``#将字符串转化为int``    ``f.close()``    ``waveData ``= waveData``*``1.0``/``(``max``(``abs``(waveData)))``#wave幅值归一化``    ``waveData ``= np.reshape(waveData,[nframes,nchannels]).T``    ``return waveData filepath ``= "./data/" #添加路径``dirname``= os.listdir(filepath) ``#得到文件夹下的所有文件名称 ``filename ``= filepath``+``dirname[``0``]``data ``= wavread(filename)``nw ``= 512``inc ``= 128``Frame ``= enframe(data[``0``], nw, inc) 

如果需要加窗,只需要将函数修改为:

1234567891011121314151617181920def enframe(signal, nw, inc, winfunc):``    ``'''将音频信号转化为帧。``    ``参数含义:``    ``signal:原始音频型号``    ``nw:每一帧的长度(这里指采样点的长度,即采样频率乘以时间间隔)``    ``inc:相邻帧的间隔(同上定义)``    ``'''``    ``signal_length``=``len``(signal) ``#信号总长度``    ``if signal_length<``=``nw: ``#若信号长度小于一个帧的长度,则帧数定义为1``        ``nf``=``1``    ``else``: ``#否则,计算帧的总长度``        ``nf``=``int``(np.ceil((``1.0``*``signal_length``-``nw``+``inc)``/``inc))``    ``pad_length``=``int``((nf``-``1``)``*``inc``+``nw) ``#所有帧加起来总的铺平后的长度``    ``zeros``=``np.zeros((pad_length``-``signal_length,)) ``#不够的长度使用0填补,类似于FFT中的扩充数组操作``    ``pad_signal``=``np.concatenate((signal,zeros)) ``#填补后的信号记为pad_signal``    ``indices``=``np.tile(np.arange(``0``,nw),(nf,``1``))``+``np.tile(np.arange(``0``,nf``*``inc,inc),(nw,``1``)).T  ``#相当于对所有帧的时间点进行抽取,得到nf*nw长度的矩阵``    ``indices``=``np.array(indices,dtype``=``np.int32) ``#将indices转化为矩阵``    ``frames``=``pad_signal[indices] ``#得到帧信号``    ``win``=``np.tile(winfunc,(nf,``1``))  ``#window窗函数,这里默认取1``    ``return frames``*``win   ``#返回帧信号矩阵

  其中窗函数,以hamming窗为例:

12winfunc ``= signal.hamming(nw)``Frame ``= enframe(data[``0``], nw, inc, winfunc)

  调用即可。

7、语谱图

 其实得到了分帧信号,频域变换取幅值,就可以得到语谱图,如果仅仅是观察,matplotlib.pyplot有specgram指令:

1234567891011121314151617181920import wave``import matplotlib.pyplot as plt``import numpy as np``import os filepath ``= "./data/" #添加路径``filename``= os.listdir(filepath) ``#得到文件夹下的所有文件名称 ``f ``= wave.``open``(filepath``+``filename[``0``],``'rb'``)``params ``= f.getparams()``nchannels, sampwidth, framerate, nframes ``= params[:``4``]``strData ``= f.readframes(nframes)``#读取音频,字符串格式``waveData ``= np.fromstring(strData,dtype``=``np.int16)``#将字符串转化为int``waveData ``= waveData``*``1.0``/``(``max``(``abs``(waveData)))``#wave幅值归一化``waveData ``= np.reshape(waveData,[nframes,nchannels]).T``f.close()``# plot the wave``plt.specgram(waveData[``0``],Fs ``= framerate, scale_by_freq ``= True``, sides ``= 'default'``)``plt.ylabel(``'Frequency(Hz)'``)``plt.xlabel(``'Time(s)'``)``plt.show()