数学 微积分

548 阅读1分钟

你也能懂的微积分_面积 (sohu.com)

面积

image.png

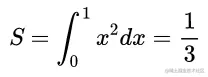
    • 如果一条曲线y=f(x)x轴ab之间围成的面积S,那么,我们就可以这样表示这部分面积Simage.png
  • image.png
    • 无数个矩形来逼近原面积
    • 这个无穷小就是上面的dx。而表示的就是函数的纵坐标,就是矩形的dx)和)相乘不就是在求面积

斜率

  • 直线的斜率等于在直线上两点的纵坐标之差Δy横坐标之差Δx比值,即Δy/Δx
  • tanθ=Δy/Δx 直线和x轴的夹角θ越大,它的斜率就越大,

导数

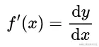
image.png

  • 导数f’(x) 就可以表示横坐标为x的地方对应切线的斜率

微积分基本定理

  • 如果函数f(x)在区间a到b之间连续(简单理解就是曲线没有断),并且存在原函数F(x)那么就有