PBR BSDF

1,078 阅读2分钟

迪士尼BSDF(Disney BSDF)

图 基于Disney BSDF的渲染的示例

  • Disney BRDF模型本质上是金属和非金属的混合型模型,
  • Disney新增了⼀个参数specTrans(镜面反射透明度)来控制BRDF 和BSDF的混合。
  • 基于specTrans完成混合后,再使用和Disney BRDF类似的方式,基于metallic再进行一次混合。 参数方面,Disney BSDF按普通表面和薄表面各有不同:
  • 对于普通表面,Disney BSDF在Disney BRDF的基础上新增specTrans(镜面反射透明度)和scatterDistance(散射距离)两个参数,共12个。
  • 对于薄表面(Thin-surface),Disney BSDF在Disney BRDF的基础上新增specTrans(镜面反射透明度)、scatterDistance(散射距离)和flatness(平坦度)三个参数,共13个。
  • 以下是开源三维动画软件Blender实现的Disney BSDF的图示(根据实际使用情况,Blender对Disney BSDF的实现有相应的修改):
  • 除了新增的Specular BSDF模型,Disney还提出了新的次表面散射模型,以及针对薄表面的折射处理,可以总结如下:
  • 在Disney BRDF中加入次表面散射模型。具体思路是首先将漫射波瓣重构为两部分:方向性的微表面效应(microsurface effect),主要为逆反射(retroreflection);非方向性的次表面效应(subsurface effect),即Lambertian。然后,用散射模型(diffusion model)或体积散射模型(volumetric scattering model)替换漫反射波瓣中的Lambert部分。这样,便能保留微表面效应(microsurface effect),让散射模型在散射距离较小时收敛到与漫反射BRDF相同的结果。
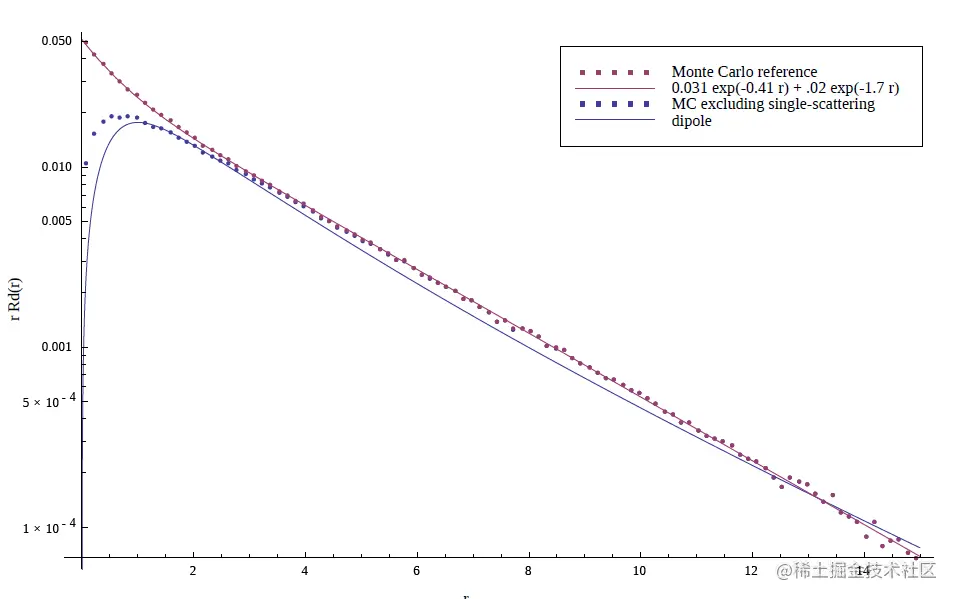
  • 提出基于两个指数项总和的次表面漫射(Subsurface diffusion)模拟模型。  次表⾯漫射(Subsurface diffusion)。Disney通过蒙特卡洛模拟(Monte Carlo simulation),观察到对于典型的散射参数,包括单次散射的扩散剖面(diffusion profile),使用两个指数项的总和(a sum of two exponentials)便可以很好地进行模拟,且得到了比偶极子剖面(dipole diffusion)更好的渲染结果。如下图所示。\
  • 薄表面BSDF(Thin-surface BSDF) 。对于薄的半透明表⾯,Disney选择在单个着色点处模拟入射和出射散射事件,作为镜面反射和漫反射传输的组合,由specTrans和diffTrans参数控制,并用各向同性的波瓣近似薄表面漫反射传输。如下图所示。
    图 蒙特卡洛散射(Monte Carlo diffusion)模拟,指数拟合与偶极子数据的对比。