「力扣」第 743 题:网络延迟时间(中等)

636 阅读2分钟

摘要:本题是一个标准的使用 Dijkstra 解决的图论问题,可以用于学习没有负权边的单源最短路径问题。注意:没有负权边是关键。


n 个网络节点,标记为 1n

给你一个列表 times,表示信号经过 有向 边的传递时间。 times[i] = (ui, vi, wi),其中 ui 是源节点,vi 是目标节点, wi 是一个信号从源节点传递到目标节点的时间。

现在,从某个节点 K 发出一个信号。需要多久才能使所有节点都收到信号?如果不能使所有节点收到信号,返回 -1

示例 1:

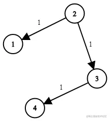
img

输入:times = [[2,1,1],[2,3,1],[3,4,1]], n = 4, k = 2
输出:2

示例 2:

输入:times = [[1,2,1]], n = 2, k = 1
输出:1

示例 3:

输入:times = [[1,2,1]], n = 2, k = 2
输出:-1

提示:

  • 1 <= k <= n <= 100
  • 1 <= times.length <= 6000
  • times[i].length == 3
  • 1 <= ui, vi <= n
  • ui != vi
  • 0 <= wi <= 100
  • 所有 (ui, vi) 对都 互不相同(即,不含重复边)

思路分析

  • 某个节点 K 发出一个信号,表示这是「单源最短路径问题」;
  • wi 是一个信号从源节点传递到目标节点的时间,以及 0 <= wi <= 100 告诉我们这是没有负权边的单源最短路径问题,因此可以使用 Dijkstra 算法。

参考代码

import java.util.Arrays;
import java.util.Comparator;
import java.util.HashSet;
import java.util.PriorityQueue;
import java.util.Set;

public class Solution {

    public int networkDelayTime(int[][] times, int N, int K) {
        // key:adj 数组的下标,所以数组的长度要加 1,结点编号(出度)
        // value:[结点编号(被指向的顶点),权值]
        Set<int[]>[] adj = new HashSet[N + 1];
        for (int i = 1; i <= N; i++) {
            adj[i] = new HashSet<>();
        }
        // 初始化邻接表
        for (int[] time : times) {
            adj[time[0]].add(new int[]{time[1], time[2]});
        }

        // 初始化 distance 数组和 visited 数组
        int[] distance = new int[N + 1];
        Arrays.fill(distance, 0x7fffffff);
        boolean[] visited = new boolean[N + 1];

        // 起点的 distance 为 0
        distance[K] = 0;
        // 注意:0 无意义,所以需要初始化成为 0
        // 这一步是必须的
        distance[0] = 0;

        // 注意:这里有一个映射
        PriorityQueue<Integer> minHeap = new PriorityQueue<>(Comparator.comparingInt(o -> distance[o]));
        minHeap.offer(K);
        // 核心思想:考虑的是边执行松弛操作
        while (!minHeap.isEmpty()) {
            // Dijkstra 算法第 1 步:从还没有确定最短路径的顶点所在的边里选出到目前为止最短的权值的边
            Integer v = minHeap.poll();
            if (visited[v]) {
                continue;
            }
            // Dijkstra 算法第 2 步:标记访问,表示这个顶点当前可以确定源点到它的最短路径
            visited[v] = true;

            // Dijkstra 算法第 3 步:从确定的顶点出发,对这些边执行松弛操作
            Set<int[]> successors = adj[v];
            for (int[] edge : successors) {
                int next = edge[0];
                if (visited[next]) {
                    continue;
                }

                // Dijkstra 算法核心的地方:松弛操作
                distance[next] = Math.min(distance[next], distance[v] + edge[1]);
                minHeap.offer(next);
            }
        }

        // 根据题意:单源最短路径中最长的那个顶点就是我们要返回的
        int res = Arrays.stream(distance).max().getAsInt();
        if (res == 0x7fffffff) {
            return -1;
        }
        return res;
    }
}