WebGL PBR 粗糙度 Roughness 法向分布和几何函数

296 阅读1分钟

直接光照

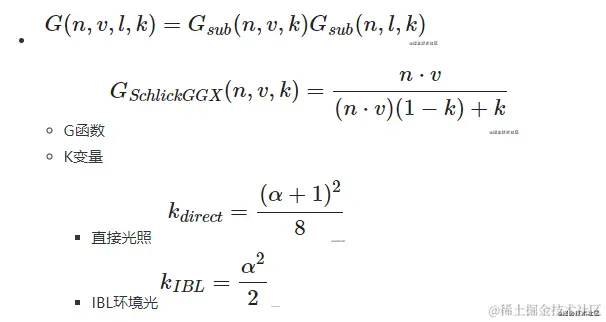
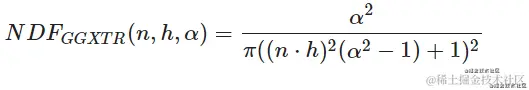
  • 粗糙度Roughness,粗糙度直接影响D和G,在公式中有直接体现 与F无关
  • 大部分时候roughness 都是以平方的形式出现
  • G
    • image.png
  • D
    • image.png

间接光照

  • prefillter来参考 image.png