剑指 Offer 36. 二叉搜索树与双向链表

128 阅读1分钟

题目描述

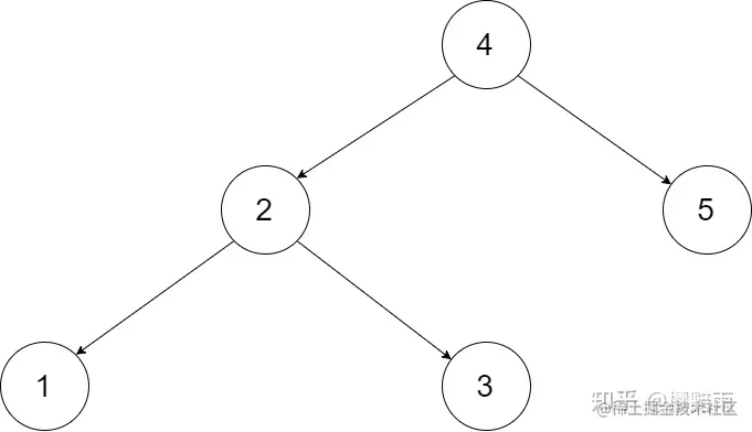
输入一棵二叉搜索树,将该二叉搜索树转换成一个排序的循环双向链表。要求不能创建任何新的节点,只能调整树中节点指针的指向。 为了让您更好地理解问题,以下面的二叉搜索树为例:

image.png

我们希望将这个二叉搜索树转化为双向循环链表。链表中的每个节点都有一个前驱和后继指针。对于双向循环链表,第一个节点的前驱是最后一个节点,最后一个节点的后继是第一个节点。

下图展示了上面的二叉搜索树转化成的链表。“head” 表示指向链表中有最小元素的节点。

image.png

特别地,我们希望可以就地完成转换操作。当转化完成以后,树中节点的左指针需要指向前驱,树中节点的右指针需要指向后继。还需要返回链表中的第一个节点的指针。

解题思路: 中序遍历

  1. 根据二叉搜索树的性质, 直接中序遍历出的就是有序的list, 所以我们直接用中序遍历
  2. 设置head保存双向链表的头, pre保存遍历到节点的前置节点用来构造双向链表
  3. 递归过程中:
    • 当pre为空时, 表名遍历到了树的最左下角, 也就是链表的head, 进行赋值
    • 当pre不为空时, 我们对pre, cur 进行双向赋值
  4. 遍历完成后, 将链表的头尾进行双向赋值, 最后返回head

示例代码

def treeToDoublyList(self, root: TreeNode) -> TreeNode:
    def dfs(cur):
        if not cur: return
        dfs(cur.left)
        if self.pre:
            self.pre.right, cur.left = cur, self.pre
        else:
            self.head = cur
        self.pre = cur
        dfs(cur.right)

    if not root: return
    self.pre, self.head = None, None
    dfs(root)
    self.head.left, self.pre.right = self.pre, self.head
    return self.head