Halcon 算子 derivate_gauss

736 阅读2分钟

作用;将图像和高斯函数的导数求卷积;

高斯函数在图像处理中用作预平滑核;

卷积是两个变量在某范围内相乘后求和的结果。

参数翻译(顺序对应以上参数顺序):

输入图像、

输出图像、

输入平滑系数(0.2 ≤ Sigma ≤ 50.0)、

输入需要计算的特征或者导数、

 

描述:

derivate_gauss将图像与高斯函数的导数进行卷积,并计算由此推导出的各种特征。如果在Sigma中传递一个值,那么在列和行方向上的平滑量是相同的。如果在Sigma中传递两个值,第一个值指定在列方向上的平滑量,而第二个值指定在行方向上的平滑量。

参数Component可能的值如下:

1、'none': 只是平滑;

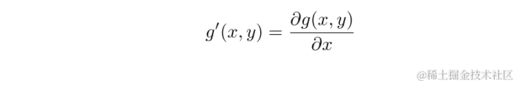
2、'x': 沿x的一阶导数

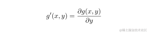
3、'y': 沿y的一阶导数

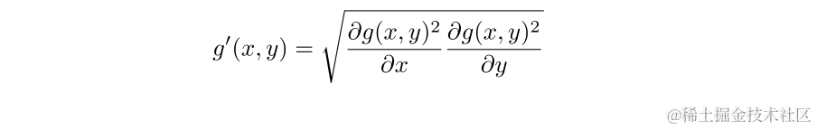
4、'gradient':梯度的绝对值

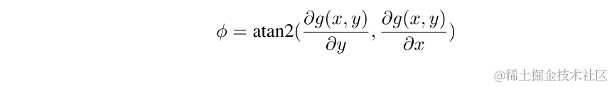
5、'gradient_dir':以弧度表示梯度方向

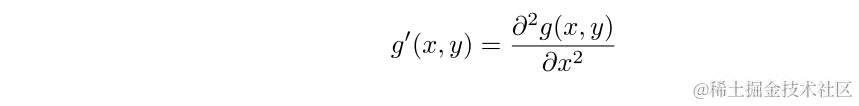
6、'xx':沿x的二阶导数。

7、'yy':沿y方向的二阶导数

8、'xxx':沿x的三阶导数。

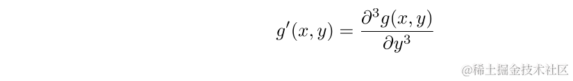
9、'yyy':沿y的三阶导数。

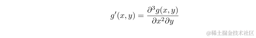
10、'xxy':沿x x y的三阶导数

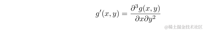
11、'xyy':沿x y y的三阶导数。

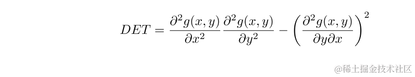
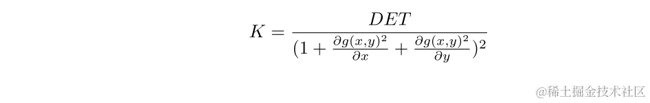
12、'det':黑塞矩阵的行列式

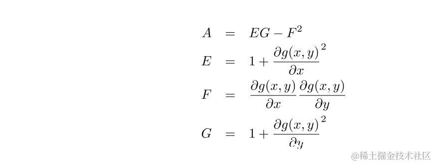
黑塞矩阵(Hessian Matrix),又译作海森矩阵、海瑟矩阵、海塞矩阵等,是一个多元函数的二阶偏导数构成的方阵,描述了函数的局部曲率

行列式是线性变换的伸缩因子。

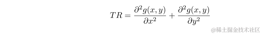
13、'laplace':拉普拉斯算子

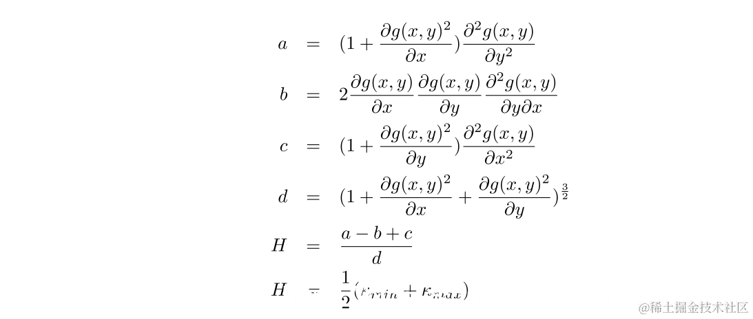
14、'mean_curvature':

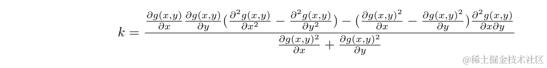
  • 平均曲率

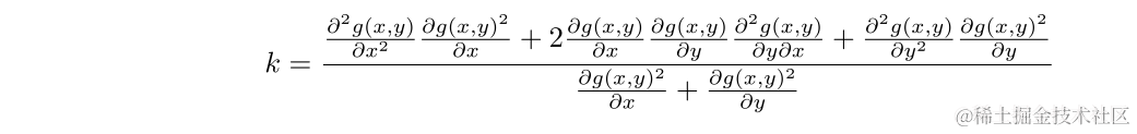
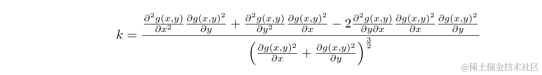
15、'gauss_curvature':高斯曲率

16、'area':微分

17、'eigenvalue1':第一特征值

18、'eigenvalue2':第二特征值

19、'eigenvec_dir':与第一个特征值(弧度)对应的特征向量的方向

20、'kitchen_rosenfeld':垂直于梯度的二阶导数

21、'zuniga_haralick':垂直于梯度的标准化二阶导数

22、'2nd_ddg':沿梯度的二阶导数

23、'de_saint_venant':沿和垂直于梯度的二阶导数