Halcon 算子 laplace_of_gauss

796 阅读1分钟

作用:计算高斯拉普拉斯算子;

高斯拉普拉斯算子又称为LOG(Laplacian of Gaussian)算子,是在高斯函数的基础上再利用拉普拉斯算子提取边缘得出的一个算子。

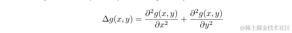
拉普拉斯算子是一种高通滤波器,是影像灰度函数在两个垂直方向二阶偏导数之和。在离散数字影像的情况下,直接用影像灰度级的二阶差分代替连续情形下的二阶偏导数,对噪声很敏感,在提取边缘时往往会出现伪边缘响应。为克服拉普拉斯算子的不足,宜先对数字影像进行低通滤波,抑制噪声。高斯函数是一种很好的归一化低通滤波器,可用于对数字影像进行低通滤波以减少噪声的影响,在此基础上再利用拉普拉斯算子提取边缘,这就是高斯-拉普拉斯算子,又称为LOG(Laplacian of Gaussian)算子。 

参数翻译(顺序对应以上参数顺序):

输入图像、

输出图像、

平滑系数(一般取值范围 0.7 ≤ Sigma ≤ 5.0   最大取值Sigma <= 25.0)

 

描述:

先使用输入参数Sigma平滑系数,带入高斯算子,对图像进行平滑操作,然后再计算拉普拉斯算子。