Halcon 算子 elliptic_axis

作用:计算等效椭圆;

参数翻译(对应以上参数顺序):
输入区域、
输出主半径(Ra >= 0.0)、
输出次半径( Rb >= 0.0 && Rb <= Ra)、
输出主半径和X轴的夹角(以弧度为单位 - pi / 2 < Phi && Phi <= pi / 2);
描述:
算子elliptic_axis计算与输入区域具有相同方向和相同宽高比的椭圆的半径Ra和Rb以及方向Phi,多个输入区域可以作为数组传递。Ra代表椭圆的主半径,而半径Rb代表椭圆的次半径。主轴相对于x轴的方向以弧度表示的Phi返回,椭圆的主轴相当于输入区域惯性矩的主轴。
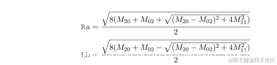
计算过程:
Ra和Rb的计算需要通过另一个算子(moments_region_2nd,具体解释查看我的halcon算子专栏)来计算区域的几何矩,通过几何矩(M11、M20、M02)来得到Ra和Rb;

Phi计算公式如下:

如果传入的是多个区域,则结果相应会返回再数组中;
需要注意的是:
Ra和Rb可以假设为0,因为对于空区域和包含单个点的区域,会返回Ra = Rb = 0。此外,对于点完全位于直线上的区域(例如,一个像素高的水平区域或一个像素宽的垂直区域),返回Rb = 0;