DCC2020:基于局部纹理相关性优化帧内预测RDO

221 阅读5分钟

 

本文来自DCC2020文章《Revisiting Local Texture Correlation for Rate-distortion Optimized Intra Coding

本文通过分析局部纹理下的相关性来选择帧内预测的率失真优化时最优的模式。

局部纹理相关性

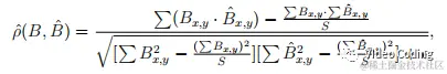
早在1970s就有图像相关性模型的研究,研究认为像素值满足均值为0,方差固定的高斯分布。像素Ix,y和Ix',y'的相关性计算如下:

(x,y)表示像素的坐标。不同的u和v会导致相关性沿着不同方向。考虑到视频编码是以块为单位进行,通常使用皮尔森相关系数来评价块间的相关性。假设当前块是B,其相邻块是Bˆ,则它们间的相关性如下:

块尺寸设为8x8,所以S=64。此外,B和Bˆ间的位置偏移(Δx,Δy)限制在[-8,8]。ε防止分母为0。

本文中,研究了65个帧内预测方向的局部纹理。为了研究帧内预测和空域相关性间的关系,重新实现了VVC中的投影和插值方法。通过对8x8的亮度块遍历不同的角度模式,选择MSE最小的预测模式Mopt。

接下来,本文研究了在特定纹理方向Mopt下的当前块与相邻块间的相关性。Fig.2和Fig.3分别展示了自然场景和屏幕内容场景(SCC)的不同方向模式的平均块相关性,为了方便可视化只展示了9个方向。

图中的山脊表示沿该纹理方向的块有着强相关性。同时,局部纹理的连续性也可以用于决定块的最优帧内预测模式。

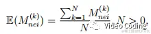
一般,通过块的相关性来研究局部纹理特征。假设给定一个块B,它沿着特定方向纹理M_i,cur,对于B的第k个相邻块其模式为M_k,nei。则M_k,nei的期望为:

N是相邻块的数量,它满足pˆ的限制。M_i,cur和E(M_k,nei)的关系如Fig.4所示,可以看到随着pˆ的下界增加,M_i,cur和E(M_k,nei)的一致性更强。

以上揭示了强相关性通常发生在纹理方向上。块间的相关性越强它们的纹理方向越相似。因此,利用当前块和相邻块的相关性和纹理特征来选择具有更高优先级的帧内模式子集是可行的。由于帧内预测可以使用上方和左侧重建块作为参考,所以可以利用相邻块的帧内模式(通过full RDO选择)来调整当前块的full RDO list。

full RDO list优化

通常, Hadamard cost和实际RDO cost是成正比的,且由于其计算简单易于分析所以经常用于视频编码中。然而,Hadamard cost并不总能选出最优的帧内预测模式,尤其是VVC的帧内模式数量相比HEVC几乎加倍。Fig.5和Fig.6散点图展示了67个帧内模式的Hadamard cost和实际RDO cost的关系。

可以看见Hadamard cost和实际RDO cost成正比,但是其相关性较低所以对于full RDO list还有优化空间。

进一步研究最优模式和基于Hadamard 的RDO生成的模式间的关系,使用AVS3作为参考平台。选择Hadamard cost最小的X个模式组成 full-RD set ,M={m0,...,mx-1},在AVS3中X最大取5。研究对于不同块尺寸S,不同X时最优模式在M中的命中率P。通过对67个帧内模式进行full-RD搜索找出最优模式m_opt,如果m_opt在M中表示命中,如果不在则未命中表示Hadamard cost未能很好的预测出实际帧内模式。命中率P通过下式计算,

N是特定尺寸块的数量。m_k,opt和M_k分别代表最优帧内模式和第k个块的full-RD set。表1和表2是统计结果。自然场景的平均命中率为83.4%,M包含5个基于Hadamard cost的模式。在小尺寸块上M表现更好,尤其是4x4块命中率达到90%以上。命中率随着X变大而增大,但是当X大于3后增长变慢。可以看见,自然场景的命中率远远超过SCC场景,说明M的效果受视频内容影响。

分析单个模式mi的命中率并且忽略M的未命中率。M中模式的顺序与Hadamard cost有关,

mi的分布如Fig.7和Fig.8所示。后两个模式的命中率非常低,在所有尺寸的块中都小于3%,表明m3和m4在选择帧内模式时作用较小。

基于前面对局部纹理和相关性的分析,在构造集合M时,当当前块和相邻块的相关性很高时参考相邻块的帧内模式是合理的。考虑到相邻块的相关性通常都很高,本文提出在构造M时直接包含相邻的帧内模式而不需要计算pˆ。但是,将相邻块模式追加到M会增加编码复杂度,在AVS3中根据相邻模式和最后两个模式的加权优先级来调整M。尤其是当相邻模式是角度模式时,将会为其分配更高的优先级。最后优先级最小的模式移除出M,保持M只包含5个模式。调整后的M记为M*,其实验结果在表1和表2最后一列,可以看到其命中率提高了3-4%。

实验结果

实验平台是AVS3的HPM5.0,配置为AI和RA,QP为27,32,37,45。序列包括自然场景和SCC场景。结果如表3和表4所示。该最优帧内 full-RD list构建方法已经集成到AVS3参考软件中。

感兴趣的请关注微信公众号Video Coding