ICASSP2020:VVC基于线性模型的帧内预测模式

347 阅读3分钟

 

本文来自ICASSP2020论文《LINEAR MODEL-BASED INTRA PREDICTION IN VVC TEST MODEL》

论文使用含3个参数的线性模型进行帧内预测 Linear Model-based Intra Prediction (LMIP),在VTM4.0平台上AI配置和RA配置下分别取得0.30%和0.14%的BD-Rate增益。

基于线性模型的帧内预测LMIP

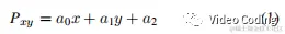
文章提出了包含3个参数的线性模型,通过待预测块的邻域像素值和邻域像素位置训练该模型,然后通过这个模型计算块的预测像素。该模型如下,

x,y是待预测位置的坐标,P_xy是(x,y)处的预测值。使用该模型可以得到块内每个位置处的预测值。a0,a1,a2是模型参数。

LMIP模型参数需要使用邻域像素值和邻域像素位置通过线性回归最小化MSE得到。

Fig.1是对4x4块使用LMIP的过程,

参数生成

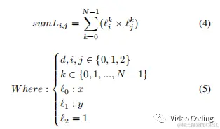
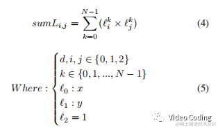
生成参数需要用到该块左边一列和上边一行的重建像素。对应的重建值和位置作为线性回归的输入。需要得到的模型用公式(1)表示,则训练过程可以描述为寻找使N个邻域像素MSE最小的参数。

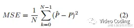
公式(2)是MSE计算过程,P和P^分别是实际和估计的像素值。

MSE最小化可以根据公式(3)-(5)完成。

p_k是第k个邻域像素,l_k是其对应位置。

根据上面公式可以定义两个3x3矩阵A、B,

最终LMIP的参数由A和B的行列式相除得到。

得到LMIP参数后就可以使用公式(1)对块内每个位置(x,y)计算其预测值。

LMIP仅对亮度分量使用,可以看作是一种额外的帧内预测模式。CU需要在码流中传输一个标志位表示是否使用LMIP模式。

Fig.2是解码端使用LMIP的架构图。可以看见LMIP标志位优先级高于其他帧内模式。

由于LMIP模式和Planar模式很像,所以LMIP编码块的帧内模式标记为Planar模式。当CU构建MPM列表时会参考邻域块的帧内模式,色度分量构建MPM列表时会参考对应亮度分量的模式。这样当一个块的邻域块或对应亮度块使用LMIP模式时,则该块构建MPM时将其当作Planar模式处理。

实验结果

LMIP算法在VTM4.0平台上实现,测试序列包括JVET测试集的26条序列。使用AI配置和RA配置,4个QP(22,27,32,37)。结果如表1所示,

LMIP在VTM4.0平台上AI配置和RA配置下分别取得0.30%和0.14%的BD-Rate增益,编码时间增加很少,解码时间不变。

LMIP对于像素模式统一的块或和邻域块有相同模式的块上效果更好。例如ClassA1,A2,E在AI配置下码率分别降低0.60%,0.25%,0.47%,在RA配置下码率分别降低0.23%,0.13%,0.32%。

Fig.3是AI配置下QP等于32的一些结果,上面是对应的解码图像,下面是LMIP块的信息。可以看见使用LMIP的块越多,码率下降也越大。例如Tango2和Johnny序列大量块使用LMIP,其码率下降分别为0.91%和0.68%。而PartyScene使用LMIP的块很少,其码率下降也很少,只有0.07%。

感兴趣的请关注微信公众号Video Coding