图像质量评价(四):SSIM和MSSIM
SSIM
SSIM是一个广泛使用的图像质量评价指标,它是基于人眼观看图像时会提取其中的结构化信息的假设。
SSIM是一种全参考的评价方法,对于图像x和图像y,其SSIM计算方式如下:
上式中l(x,y)是用均值来估计亮度,c(x,y)是用方差估计对比度,s(x,y)是用协方差估计结构相似度。
所以SSIM定义为:
可以看出SSIM满足以下性质:
- 对称性:SSIM(x,y)=SSIM(y,x)
- 有界性:SSIM(x,y) <= 1
- SSIM(x,y)=1当且仅当x和y完全相同。
MSSIM
上面介绍的单尺度SSIM需要在特定的配置下才能表现良好,而MSSIM对不同分辨率的图像都能保持性能稳定。
MSSIM的流程如上图所示。将参考图像和失真图像作为输入,然后分别依次迭代的使用低通滤波器和1/2降采样。假设原始图像为Scale 1,最高尺度为Scale M经过M-1次迭代得到。对于第j个尺度,只计算对比度c(x,y)和结构相似度s(x,y)。仅在Scale M计算亮度相似度l(x,y)。如上图所示。
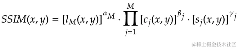
最终的SSIM是将各个尺度的结果连接起来:
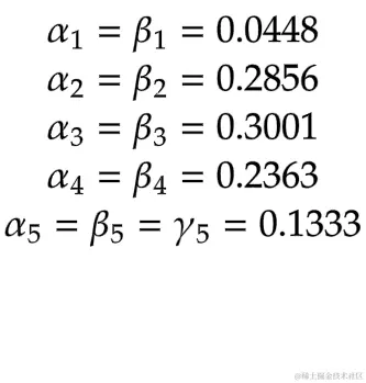
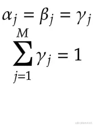
alpha,beta,gamma用于调整各个分量的权重。为了简化,通常令:
跨尺度校准
对于MSSIM一般对每个尺度令alpha=beta,那么如何选择不同尺度的alpha和beta参数(即确定不同scale的相对权重)?
上图中,每一行的MSE都相同,每一列的scale都相同。对于给定的8bit灰度图像,我们可以合成上面的失真图像表。这里有5个scale,12个失真水平,共60幅图像。可以看到每行的MSE都相同,但是它们的感知质量却差别很大,这说明不同尺度的失真对感知质量的影响不同。
我们使用10幅不同内容的(人脸、自然风景、植物、人造物体等)64x64的图像,构建了10个上面的失真表(共600幅失真图像)。有8个受试者,观测距离固定为每度观测视角32个像素距离。每个人依次看10组图像,对不同尺度的图像进行比较,每个尺度选择出一幅他们认为质量相同的图像。例如上图中标红的5幅图像,观测者认为它们质量相同。每个人选择的结果会被记录,平均计算得到最终测试结果,对测试结果计算得到:
实验结果
在八个数据集上测试MSSIM的表现结果:
| Database | Results | Nonlinear fitting code | SROCC | KROCC | PLCC | RMSE |
|---|---|---|---|---|---|---|
| TID2013 | MSSSIMOnTID2013 | NonlinearFittingTID2013 | 0.7859 | 0.6047 | 0.8329 | 0.6861 |
| TID2008 | MSSSIMOnTID | NonlinearFittingTID | 0.8542 | 0.6568 | 0.8451 | 0.7173 |
| CSIQ | MSSSIMOnCSIQ | NonlinearFittingCSIQ | 0.9133 | 0.7393 | 0.8991 | 0.1149 |
| LIVE | MSSSIMOnLIVE | NonlinearFittingLIVE | 0.9513 | 0.8045 | 0.9489 | 8.6188 |
| IVC | MSSSIMOnIVC | NonlinearFittingIVC | 0.8980 | 0.7203 | 0.9108 | 0.5029 |
| Toyama-MICT | MSSSIMOnMICT | NonlinearFittingMICT | 0.8874 | 0.7029 | 0.8927 | 0.5640 |
| A57 | MSSSIMOnA57 | NonlinearFittingA57 | 0.8414 | 0.6478 | 0.8603 | 0.1253 |
| WIQ | MSSSIMOnWIQ | NonlinearFittingWIQ | 0.7495 | 0.5740 | 0.8095 | 13.4486 |
| Weighted-Average |
参考
《Multi-scale structural similarity for image quality assessment》
sse.tongji.edu.cn/linzhang/IQ…
感兴趣的请关注微信公众号Video Coding