图像质量评价(一):IQA介绍
简介
图像质量评价(Image quality assessment,IQA)目的在于使用计算模型来衡量图像质量使结果与主观质量保持一致(即主观质量好的图像其IQA评分也应该越高)。随着数字图像和传输技术的快速增长,IQA在图像获取、传输、压缩、恢复、增强等领域也变得更加重要。由于主观IQA技术在很多场景(例如实时场景等)无法使用,所以需要发展客观IQA技术来自动的、稳健的衡量图像质量。同时需要评价结果与人类观察员是统计一致的。在过去几十年间已经出现了多种IQA方法。
IQA分类
根据是否有参考图像,IQA分为全参考(full reference,FR),半参考( reduced-reference,RR),无参考(no-reference)。
全参考FR:在FR问题中除了给出失真图像,还给出了无失真的参考图像。
半参考RR:在RR问题中给出了失真图像,没有参考图像,但是给了参考图像的部分信息。至于是哪种信息取决于你的算法。RR算法在实时系统中很有用,RR的工作原理如下图所示。
无参考NR:在NR问题中仅给出了失真图像。NR是最难的图像质量评价方法。
如何检验IQA评价是否准确?
如果你想评价现有IQA算法的性能,或将你的IQA算法与现存的IQA算法做比较,你需要在公开的IQA数据集上做大量实验。通常,这样的数据集有大量参考图像,每个参考图像对应多个失真图像(失真类型不同)。每个失真图像都有一个人类观察员的主观评分。为了评价一个IQA算法,你需要对数据集的每个失真图像计算其IQA,然后计算IQA评分与主观评分的相关性。
| Database | Source Images | Distorted Images | Distortion Types | Image Type | Observers |
|---|---|---|---|---|---|
| TID2013 | 25 | 3000 | 24 | color | 971 |
| TID2008 | 25 | 1700 | 17 | color | 838 |
| CSIQ | 30 | 866 | 6 | color | 35 |
| LIVE | 29 | 779 | 5 | color | 161 |
| IVC | 10 | 185 | 4 | color | 15 |
| Toyama-MICT | 14 | 168 | 2 | color | 16 |
| A57 | 3 | 54 | 6 | gray | 7 |
| WIQ | 7 | 80 | 5 | gray | 60 |
目前主流的IQA数据集如上表所示。其中TID2008、CSIQ、LIVE是综合性最好使用最多的。
假如你已经使用一种IQA算法计算出数据集中所有失真图像的IQA值,那如何衡量这个IQA值是否准确(即与主观结果是否接近)?通常有四种方法评价IQA算法的性能。
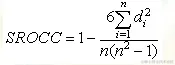
1、Spearman rank order correlation coefficient(SROCC)斯皮尔曼等级相关系数
n是数据集中失真图像数量,di是第i幅图像的主观和客观等级差值。
2、Kendall rank order correlation coefficient(KROCC)肯德尔相关系数
nc是数据集中一致性元素对数,nd是数据集中不一致性元素对数。
matlab计算上面两种相关系数的方法如下:
SROCC_Corr_Coef = corr(subjetiveScores, objectiveScores, 'type', 'spearman');
KROCC_Corr_Coef = corr(subjetiveScores, objectiveScores, 'type', 'kendall');
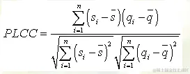
3、Pearson linear correlation coefficient (PLCC)
4、root mean squared error (RMSE)
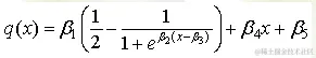
在PLCC和RMSE计算中si代表第i幅图像的主观质量,qi是映射后的客观质量。在计算PLCC和RMSE前需要将第i幅图像的客观质量xi进行非线性映射为qi,映射方式如下:
beta_i是需要拟合的参数。
除了上面四种评价方法,研究者也可以画出数据集内每幅失真图像的主观评分和对应客观评分的散点图及拟合的曲线。下图是TID2008数据集分别使用FSIM客观评价指标和VIF客观评价指标的散点图。
在接下来的文章中会陆续介绍一些主流FR IQA算法。
参考
sse.tongji.edu.cn/linzhang/IQ…
感兴趣的请关注微信公众号Video Coding