SCC(五):ACT

238 阅读2分钟

SCC(五):ACT

ACT(Adaptive colour transform)

大部分屏幕内容都是在RGB空间采集。对于一个RGB块,其不同通道间可能有很强的相关性,此时使用颜色空间转换可以减少不同通道间的冗余。有的RGB块不同通道间相关性较弱,直接在RGB空间编码效率更高。为了处理不同的块,可以使用下面的颜色空间变换。

 

在HEVC-SCC中,颜色变换作用在残差上,这样可以使不同通道的预测过程相互独立。对于帧内预测块,当不同通道帧内预测方向不一致时不使用ACT,这是因为预测方向不同像素不同通道值的相关性较弱。

颜色变换会改变不同通道的均值,为了归一化不同通道的误差,当对一个块使用上面的变换时,三个通道量化时分别加上一个QP offset(-5,-5,-3)。

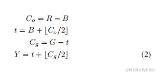
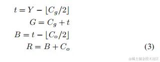
为了防止颜色变换带来动态范围膨胀,HEVC-SCC使用一种近似变换,对应颜色空间为YCoCg-R。RGB到YCoCg-R的正变换和逆变换如下:

 

 

在正变换(2)中,Y的比特深度和输入保持一致,Co和Cg比特深度加1。对于有损编码直接使用(2)(3)。对于无损编码为了使比特深度和原始空间保持一致在正变换后对Co和Cg进行右移操作,对应的在反变换前进行左移操作。

即使编码时使用ACT不同通道间还会存在冗余,所以CU使用ACT后还可以使用CCP进一步去除不同通道的冗余。

一个CU是否使用ACT可以通过RDO决定,比较使用和不使用ACT的RD cost,选择cost较小的模式。

感兴趣的请关注微信公众号Video Coding