图像质量评价(一)

466 阅读2分钟

图像质量评价(一)

图像质量评价是图像处理的基本技术之一,有着广泛的应用。可以分为两类:主观质量评价客观质量评价。主观质量评价的评价主体是人,由人根据观看感受打分,这种评价方法最符合人类观感是最准确的,缺点是评价麻烦效率低。客观质量评价是根据图像统计信息来评价,应用最多,分为全参考(Full Reference,FR),半参考(Reduced Reference,RR)和无参考(No Reference,NR),下面介绍的都是全参考方法。

1、MSE(均方误差)

MSE计算非常简单,就不赘述了。

2、PSNR(峰值信噪比)

式中MSE是可能的像素最大值,如果一个像素用8位表示则MAX=255,MSE是上面介绍的均方误差。

PSNR单位是分贝,一般在20~40dB间。这两个评价指标是一般图像处理中经常使用的方法,MSE越小或PSNR越大表示图像失真越小,图像质量越好。

PSNR计算方法:

  • 对RGB可以分别计算每个通道的PSNR然后求均值作为全局PSNR。

  • 求RGB三个通道的平均MSE,然后利用上式求PSNR。

  • 将RGB转为灰度图像,在灰度图像上求PSNR。

    3、SSIM(结构相似度)

上面l(x,y),c(x,y),s(x,y)分别度量图像的亮度(lumiance),对比度(contrast)和结构(structure)

SSIM最大值为1,当且仅当两幅图像完全一样时SSIM=1,SSIM值越大,图像质量越好

通常在计算SSIM时都是使用滑动窗口形式,滑动窗口在整个图像上滑动,每次计算滑动窗口内的SSIM形成一个quality map最后根据这个quality map计算整幅图像平均SSIM

 

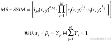
4、Multi-scale SSIM(多尺度SSIM)

当人眼在不同距离观看图像时也会有不同感受,距离远时图像显得小,图像细节在人眼看来失真很大。MS-SSIM考虑了不同分辨率下图像相似性。

对两幅图像迭代的进行低通滤波和1/2降采样,每次处理完图像分辨率就减半,假设原始尺寸为Scale1,最终尺寸为ScaleM,在每个尺寸下都要计算两幅图像的c(x,y)和s(x,y),只在ScaleM下计算l(x,y)

以上便是图像处理中常用的图像质量评价方法,在很多图像处理库包括python和opencv中都集成了相应算法,感兴趣的可以自己代码实现看看效果。

感兴趣的扫码关注哦!