leetcode 1005. K 次取反后最大化的数组和 思考分析

88 阅读2分钟

题目

给定一个整数数组 A,我们只能用以下方法修改该数组:我们选择某个索引 i 并将 A[i] 替换为 -A[i],然后总共重复这个过程 K 次。(我们可以多次选择同一个索引 i。)

以这种方式修改数组后,返回数组可能的最大和。

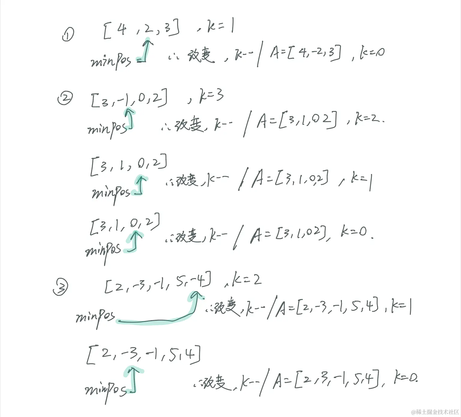
示例 1:

输入:A = [4,2,3], K = 1
输出:5
解释:选择索引 (1,) ,然后 A 变为 [4,-2,3]。

示例 2:

输入:A = [3,-1,0,2], K = 3
输出:6
解释:选择索引 (1, 2, 2) ,然后 A 变为 [3,1,0,2]。

示例 3:

输入:A = [2,-3,-1,5,-4], K = 2
输出:13
解释:选择索引 (1, 4) ,然后 A 变为 [2,3,-1,5,4]。

提示:

1 <= A.length <= 10000
1 <= K <= 10000
-100 <= A[i] <= 100

思路1:每次只取反数组中最小的元素

对示例进行逐步拆解:
在这里插入图片描述

class Solution {
public:
    int largestSumAfterKNegations(vector<int>& A, int K) {
        auto minPosition = min_element(A.begin(), A.end());
        while(K > 0)
        {
            *minPosition = -*minPosition;
            minPosition = min_element(A.begin(), A.end());
            K--;
        }
        int sum = 0;
        for(int i = 0;i < A.size();i++)
            sum+=A[i];
        return sum;
    }
};

思路2:按绝对值大小排序做。

1、将数组按照绝对值大小从大到小排序
2、从前向后遍历,如果遇到负数将其变为正数,同时K–
3、遍历完整个数组,如果K>0,那么反复转变数值最小的元素,将K用完。
4、求和
5、技巧:遍历完整个数组后,这里数值最小的元素必定是最后一个元素;可以直接判断K的奇偶性来进行计算,K为偶数不需要做修改,K为奇数则只需要取反一次。

class Solution {
public:
    static bool cmp(int a,int b)
    {
        return abs(a) > abs(b);
    }
    int largestSumAfterKNegations(vector<int>& A, int K) {
        int n = A.size();
        //1、将数组按照绝对值大小从大到小排序
        sort(A.begin(),A.end(),cmp);
        //2、从前向后遍历,如果遇到负数将其变为正数,同时K--
        for(int i = 0;i < n;i++)
        {
            if(A[i] < 0 && K > 0) 
            {
                A[i] = -A[i];
                K--;
            }
        }
        //3、遍历完整个数组,如果K>0,那么反复转变数值最小的元素,将K用完。
        //技巧:这里数值最小的元素必定是最后一个元素;可以直接判断K的奇偶性来进行计算,K为偶数不需要做修改,K为奇数则只需要取反一次。
        if(K % 2 == 1) A[n - 1] = -A[n - 1];
        //4、求和
        int sum = 0;
        for(int i = 0;i < A.size();i++)
            sum+=A[i];
        return sum;
    }
};

两种方法的比较:
在这里插入图片描述