leetcode 90. 子集 II 思考分析

93 阅读1分钟

与本题相关联的题目解析:
leetcode 78. 子集 思考分析
leetcode 40. 组合总和 II思考分析

题目

给定一个可能包含重复元素的整数数组 nums,返回该数组所有可能的子集(幂集)。
说明:解集不能包含重复的子集。
在这里插入图片描述

思考

在文章 leetcode 40. 组合总和 II思考分析
我们讲过去重的方法,分为树层去重和树枝去重。
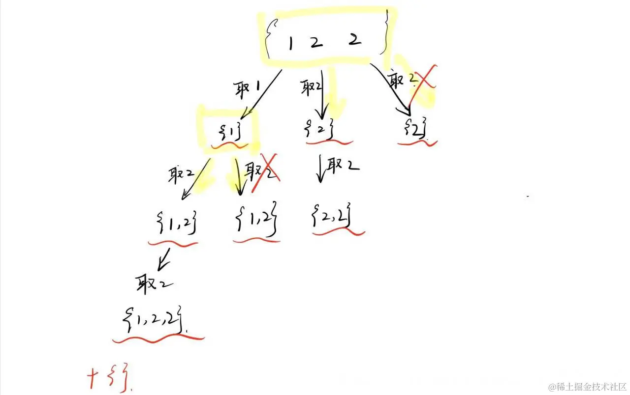
首先根据例子画出解空间树草图:观察在这里插入图片描述
发现,同一层重复取2就要过滤掉,同个树枝上是可以重复取相同元素的。这样就确定了去重条件,在层遍历的for循环中加入:

//如果遇到同一个集合的重复元素,跳过这个元素即可
if(i > startindex && candidates[i] == candidates[i-1]) continue;

在调用函数前要先对数组进行排序,使得重复的元素靠在一起,加速剪枝。

//排序加速剪枝
sort(candidates.begin(),candidates.end());

其余的思路和之前的leetcode 78. 子集 思考分析一样。

代码

class Solution {
public:
    vector<vector<int>> result;
    vector<int> res;
    int floor=0;
    void backtracking(vector<int>& nums,int start,int end)
    {
        result.push_back(res);
        //剩余集合为空,返回
        if(start==end)
        {
            return;
        }
        for(int i=start;i<end;i++)
        {
            if(i > start && nums[i] == nums[i-1]) continue;
            //cout<<nums[i]<<"层数:"<<floor<<endl;
            //处理结点;
            res.push_back(nums[i]);
            floor++;
            //递归,探索下一层
            backtracking(nums,i+1,end);		//递归
            floor--;
            //回溯,撤销处理结果
            res.pop_back();
        }
        return;
    }
    vector<vector<int>> subsetsWithDup(vector<int>& nums) {
        result.clear();
        res.clear();
        floor=0;
        //排序加速剪枝
        sort(nums.begin(),nums.end());
        backtracking(nums,0,nums.size());
        return result;  
    }
};