机器学习笔记:PCA的简单理解以及应用建议

227 阅读1分钟

用notability做的笔记,比较随意,对于第五点的PCA错误使用需要特别强调。\

目录

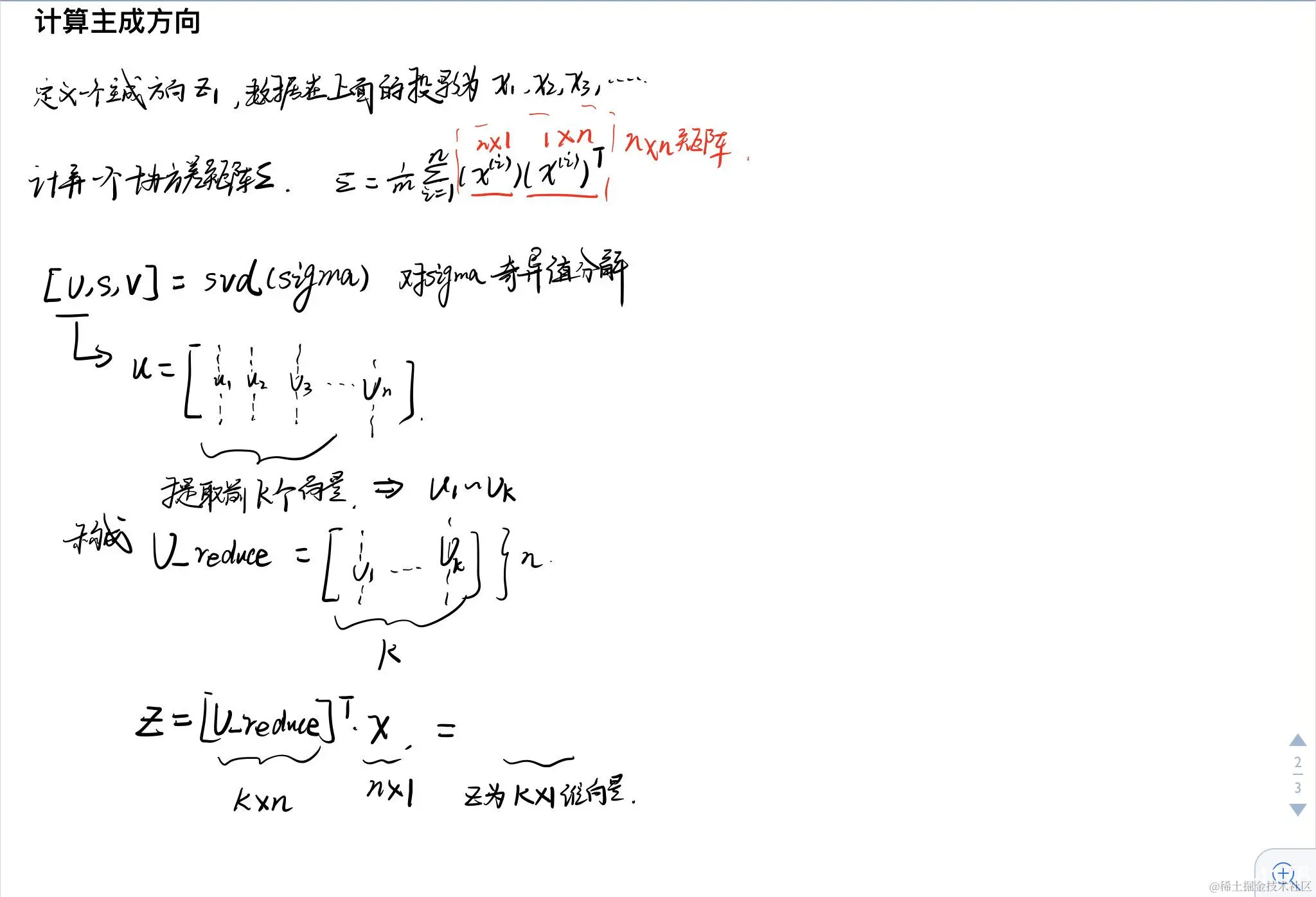
1、PCA与线性回归

在这里插入图片描述
在这里插入图片描述
在这里插入图片描述
在这里插入图片描述

2、PCA主成分数量选择

在这里插入图片描述

3、压缩重现

在这里插入图片描述

4、PCA应用建议

在这里插入图片描述
在这里插入图片描述
在这里插入图片描述

5、PCA的错误使用

在这里插入图片描述