【视觉项目】【day6】8.26关于matchTemplate()以及NCC的思考整理

477 阅读1分钟

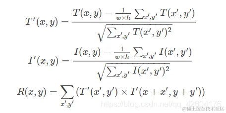
NCC与matchTemplate()函数中match_method = TM_CCOEFF_NORMED是否一样?

先看公式:

TM_CCOEFF_NORMEDNCC

TM_CCOEFF_NORMED:归一化的相关性系数匹配方法
NCC:normalized cross correlation:归一化互相关系数
公式是一样的。
参考:

模板匹配的几种方法

对canny图使用matchTemplate()函数与基于梯度的NCC算法是否一样?

先看看网上的基于梯度的NCC算法的文章:
干货 | OpenCV实现边缘模板匹配算法
其中算法描述有这样一段话
在这里插入图片描述
也就是对于所有的轮廓点计算x方向梯度、y方向梯度,以及XY梯度,作为模板保存
测试图sobel算子卷一遍后,用x方向梯度、y方向梯度,以及XY梯度去和模板匹配。
这个和我的做法不一样(用测试图的canny后的图(之后又去除了冗余信息)去和模板图的canny图(面积较小,相当于瓶子的最小外接矩形)匹配),所以我那个本质上仍然是灰度NCC,实际上是没有边缘的方向信息的。


我真是个笨蛋